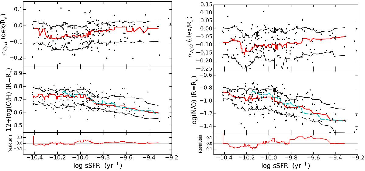
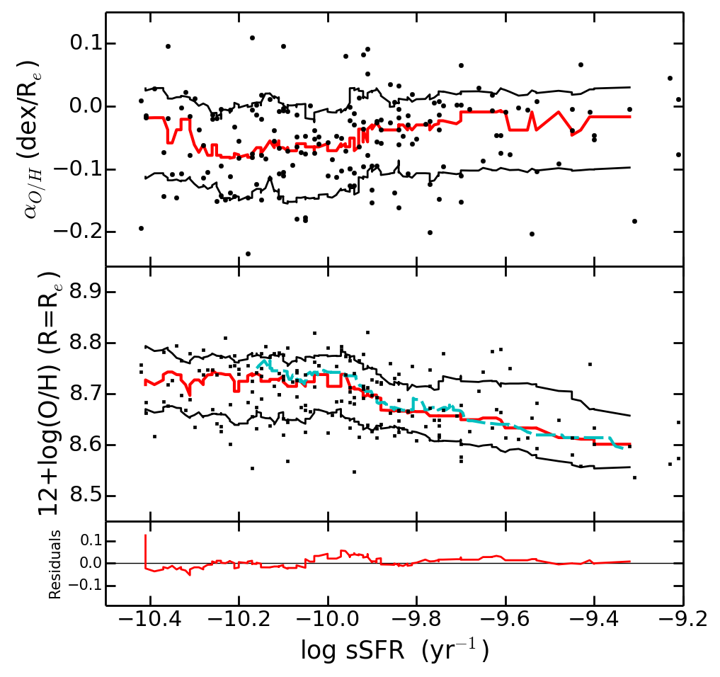
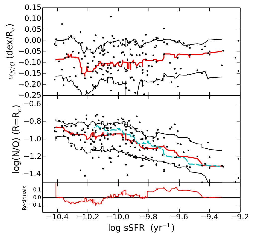
Fig. 17

Relation between the integrated sSFR and the derived slopes and characteristic values at the effective radius for O/H (left panels) and N/O (right panels). The red and black solid lines in the upper and middle panels have the same meaning as in Fig. 12. In the middle panels, the dashed cyan line represents the running median assuming the observed relation between the SFR and stellar mass. In the lower panel, the residuals are indicated in red and running medians are indicated in cyan.
Current usage metrics show cumulative count of Article Views (full-text article views including HTML views, PDF and ePub downloads, according to the available data) and Abstracts Views on Vision4Press platform.
Data correspond to usage on the plateform after 2015. The current usage metrics is available 48-96 hours after online publication and is updated daily on week days.
Initial download of the metrics may take a while.