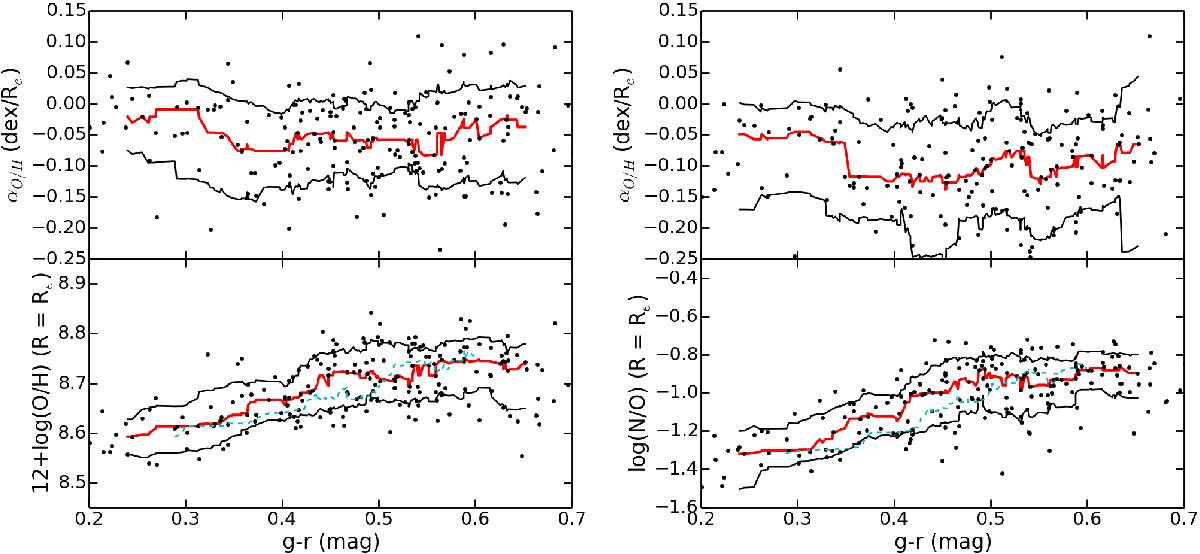
Fig. 18

Relation between the colour index g−r and the derived slopes and the characteristic values at the effective radius for O/H (left panels) and N/O (right panels). The red and black solid lines have the same meaning as in Fig. 12. The dashed cyan lines represent the running median, assuming the observed relation between g−r and stellar mass for the same galaxies.
Current usage metrics show cumulative count of Article Views (full-text article views including HTML views, PDF and ePub downloads, according to the available data) and Abstracts Views on Vision4Press platform.
Data correspond to usage on the plateform after 2015. The current usage metrics is available 48-96 hours after online publication and is updated daily on week days.
Initial download of the metrics may take a while.