Free Access

Fig. 20

image

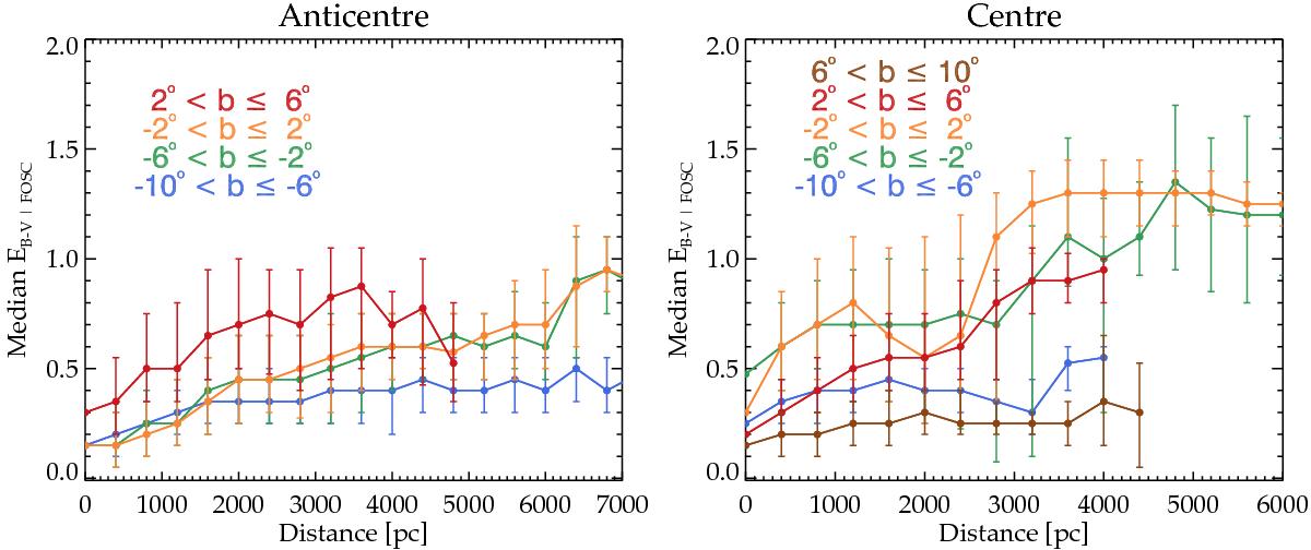
Median value of EBV determined by the FOSC for bins of 500 pc of radial distance and different values of galactic latitude b for the anticentre fields (left) and centre fields (right). The error bars give the value of the first and third quartile of the distribution for each bin.

This figure is made of several images, please see below:

Current usage metrics show cumulative count of Article Views (full-text article views including HTML views, PDF and ePub downloads, according to the available data) and Abstracts Views on Vision4Press platform.

Data correspond to usage on the plateform after 2015. The current usage metrics is available 48-96 hours after online publication and is updated daily on week days.

Initial download of the metrics may take a while.