Free Access

Fig. C.3

image

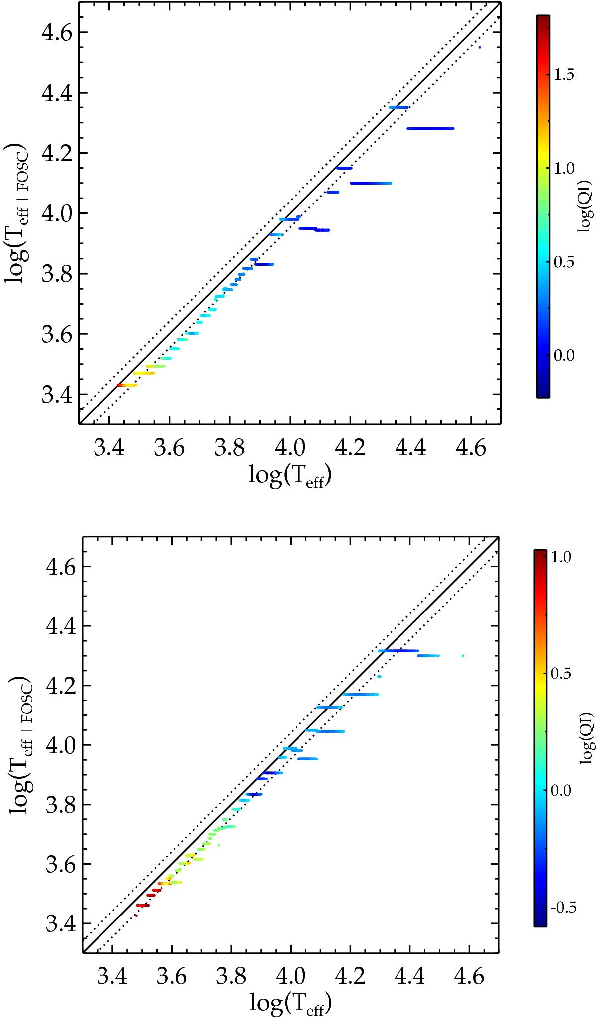
Logarithm of the effective temperature corresponding to the spectral class found by the FOSC as a function of the model effective temperature for reddened stars with EBV = 4. To test the method, the reddening was not let as a free parameter of the FOSC but was fixed to its actual value. Each symbol corresponds to a simulated star and their colour depends on value of the quality index, as indicated by the colour scale on the right-hand side of the plots. The solid black line is the exact correlation and the dotted black lines shows the ± 10% relative effective temperature band. Top: luminosity classes IV and V. Bottom: luminosity classes I, II, and III.

This figure is made of several images, please see below:

Current usage metrics show cumulative count of Article Views (full-text article views including HTML views, PDF and ePub downloads, according to the available data) and Abstracts Views on Vision4Press platform.

Data correspond to usage on the plateform after 2015. The current usage metrics is available 48-96 hours after online publication and is updated daily on week days.

Initial download of the metrics may take a while.