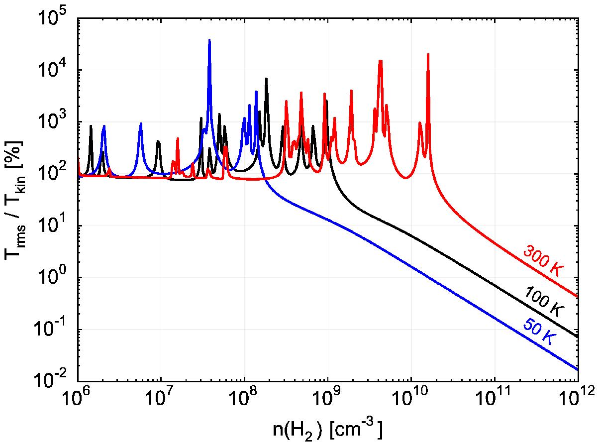
Fig. 8

Excitation of CH3OH transitions. The lines show the rms deviation Trms for the excitation temperatures, Tex, relative to the kinetic temperature from calculations with the Radex escape probability code (van der Tak et al. 2007) for all CH3OH transition in the 329 to 363 GHz band as a function of H2 density. The three different lines show results for kinetic temperatures of 50, 100, and 300 K in blue, black, and red, respectively.
Current usage metrics show cumulative count of Article Views (full-text article views including HTML views, PDF and ePub downloads, according to the available data) and Abstracts Views on Vision4Press platform.
Data correspond to usage on the plateform after 2015. The current usage metrics is available 48-96 hours after online publication and is updated daily on week days.
Initial download of the metrics may take a while.