Free Access
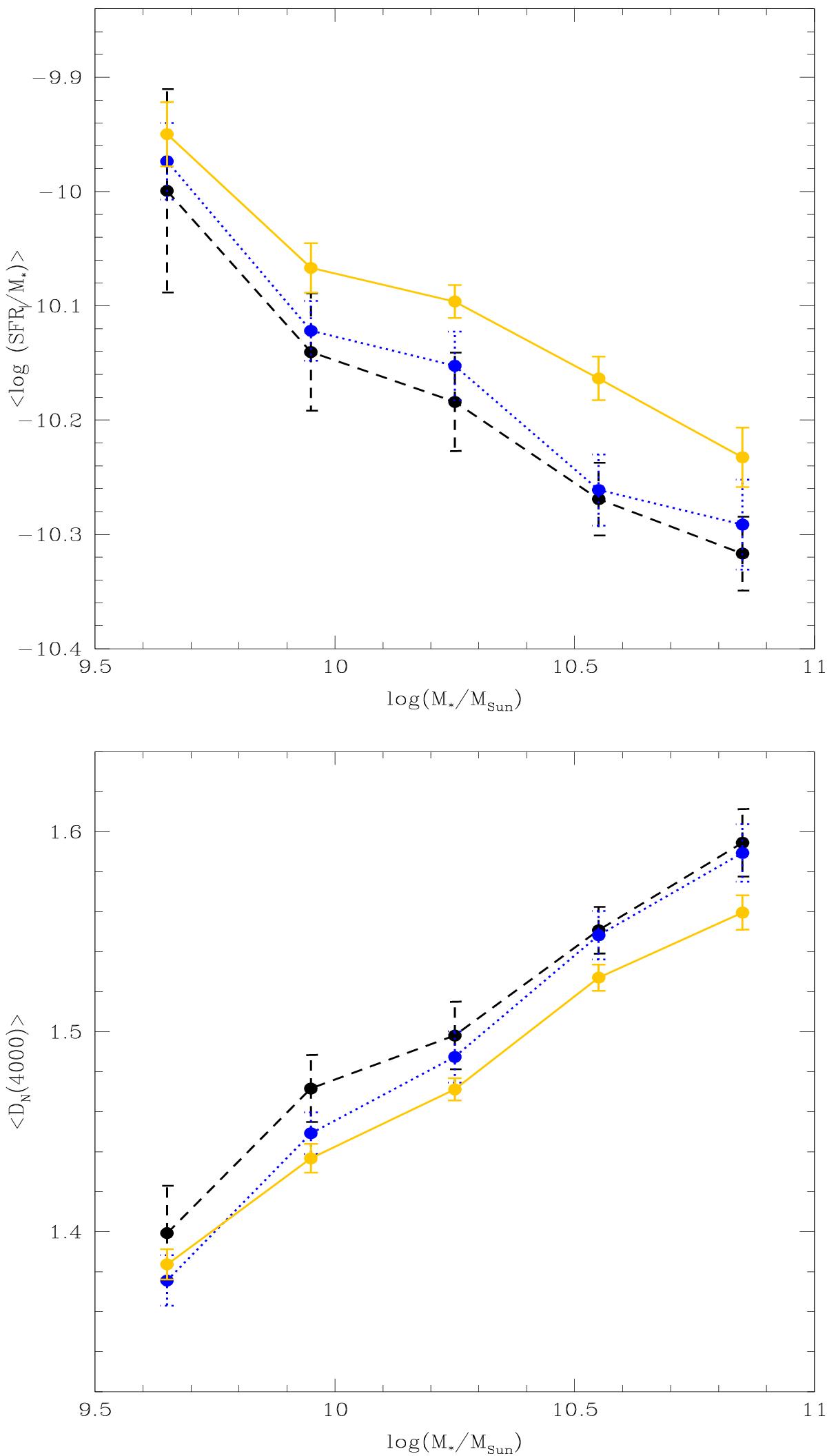
Fig. 5

Specific star formation rate, log (SFR/M∗), and Dn(4000) (upper and lower panels) as a function of stellar mass bins for unbarred, weak and strong-barred spiral galaxies that belong to the major peaks of the star formation and stellar population distributions (see Fig. 3) (solid, dotted, and dashed lines, respectively).
This figure is made of several images, please see below:
Current usage metrics show cumulative count of Article Views (full-text article views including HTML views, PDF and ePub downloads, according to the available data) and Abstracts Views on Vision4Press platform.
Data correspond to usage on the plateform after 2015. The current usage metrics is available 48-96 hours after online publication and is updated daily on week days.
Initial download of the metrics may take a while.