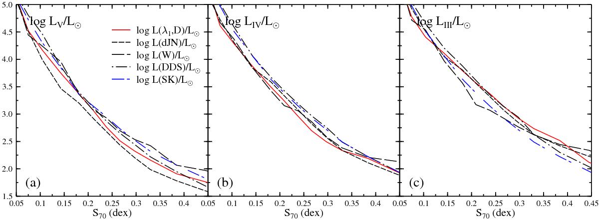
Fig. A.2

Comparison of bolometric luminosities derived using different calibrations of MV with those derived for the same discrete MK spectral types and luminosity classes using integrated fluxes that are identified here with log L(λ1,D) /L⊙ (red lines). The identifications are dJM (de Jager & Nieuwenhuijzen 1987), DDS (Deutschman et al. 1976), SK (Aller et al. 1982), and W (Wegner 2006). The blocks a), b), and c) are for average MK luminosity classes V, IV, and III, respectively.
Current usage metrics show cumulative count of Article Views (full-text article views including HTML views, PDF and ePub downloads, according to the available data) and Abstracts Views on Vision4Press platform.
Data correspond to usage on the plateform after 2015. The current usage metrics is available 48-96 hours after online publication and is updated daily on week days.
Initial download of the metrics may take a while.