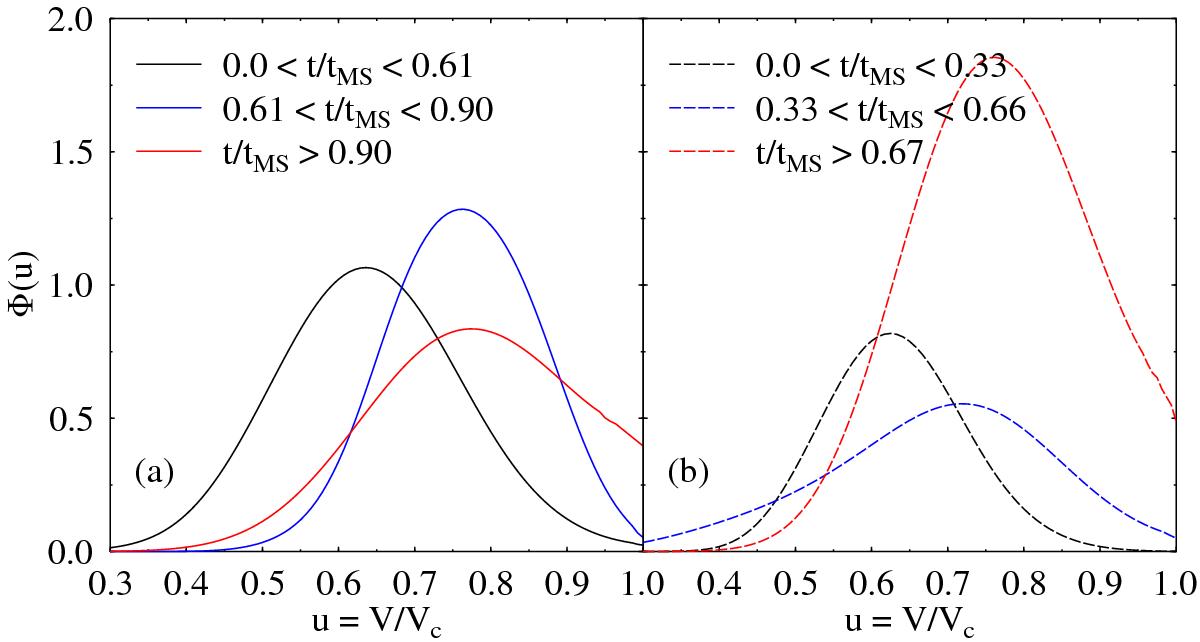
Fig. 9

a) Distributions of velocity ratios u = V/Vc of the program Be stars corresponding to three MS evolutionary subphases, which are indicated in the inlay. Each group has roughly the same number of stars. b) Distributions of velocity ratios u = V/Vc corresponding to three MS evolutionary subphases of the same duration, which are indicated in the inlay. In each block, the normalization is made by adding the area of all three distributions.
Current usage metrics show cumulative count of Article Views (full-text article views including HTML views, PDF and ePub downloads, according to the available data) and Abstracts Views on Vision4Press platform.
Data correspond to usage on the plateform after 2015. The current usage metrics is available 48-96 hours after online publication and is updated daily on week days.
Initial download of the metrics may take a while.