Free Access
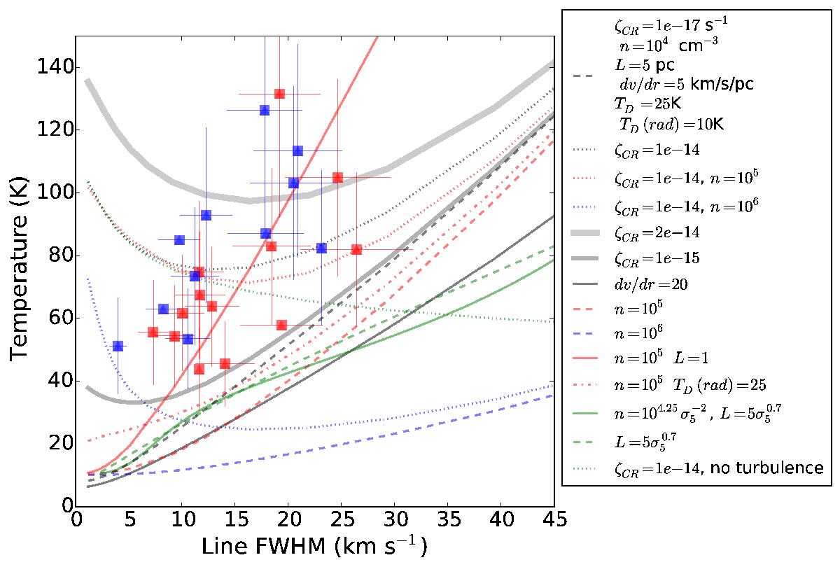
Fig. 6

Temperature versus line width plot, overlayed with thermal equilibrium models computed using the DESPOTIC (Krumholz 2014) code (see also Fig. 9 of Ginsburg et al. 2016). The data is consistent with the n = 105 cm-3 model.
Current usage metrics show cumulative count of Article Views (full-text article views including HTML views, PDF and ePub downloads, according to the available data) and Abstracts Views on Vision4Press platform.
Data correspond to usage on the plateform after 2015. The current usage metrics is available 48-96 hours after online publication and is updated daily on week days.
Initial download of the metrics may take a while.