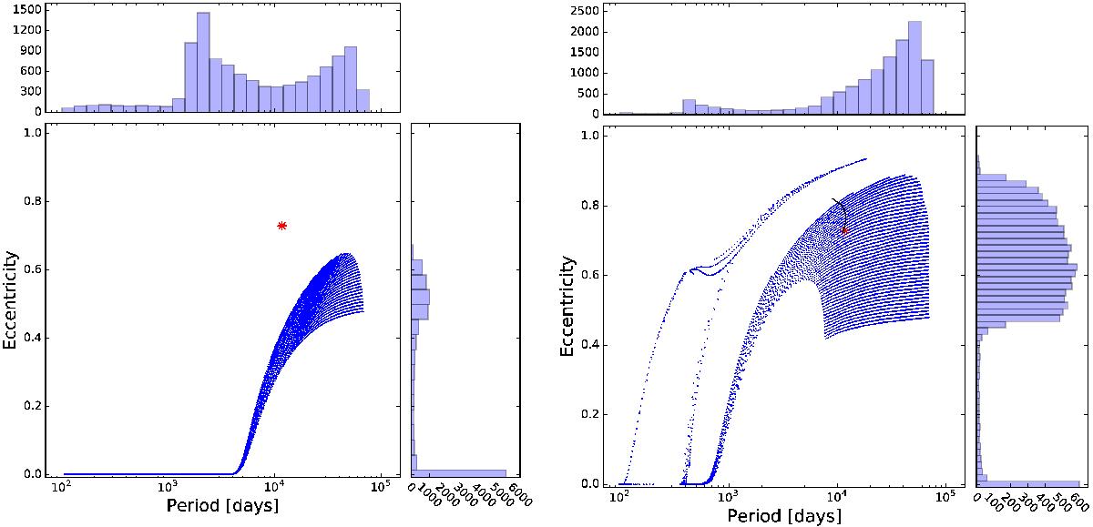
Fig. 10

Final periods and eccentricities resulting from all simulations that led to the formation of a HB giant star with a WD companion. The initial masses of the stars were 1.9 and 2.3 M⊙. We also show histograms reflecting the distribution of final periods and eccentricities. The position of the HD 59686 system is marked with a red asterisk. Left panel: results for BW = 0, meaning that the mass loss is treated with the traditional Reimers prescription. It is clear that none of the simulations can reproduce the HD 59686 system. In the majority of the cases the orbit is fully circularized due to tidal interactions during the AGB phase. Right panel: results for an enhanced mass-loss rate (BW = 104) showing that a large fraction of initial orbital conditions lead to long-period and eccentric binaries similar to the HD 59686 system. The black solid line marks the period and eccentricity evolution of the model that agrees best with the orbital properties of HD 59686 AB.
Current usage metrics show cumulative count of Article Views (full-text article views including HTML views, PDF and ePub downloads, according to the available data) and Abstracts Views on Vision4Press platform.
Data correspond to usage on the plateform after 2015. The current usage metrics is available 48-96 hours after online publication and is updated daily on week days.
Initial download of the metrics may take a while.