Open Access

Fig. 10

image

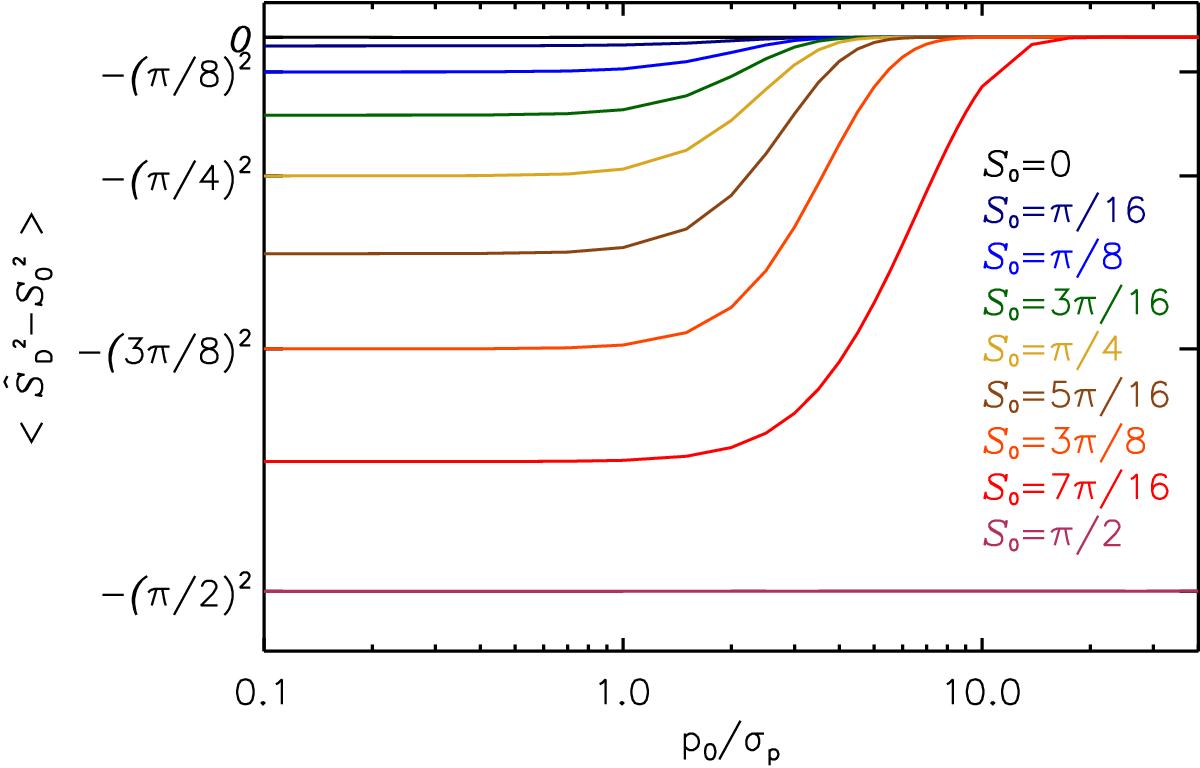
Average bias on 106 MC realizations of the dichotomic estimator in the canonical case of the noise covariance matrix: εeff = 1 for the true values of varying between 0 and π/ 2 as a function of S/N. The colored curves are shown from top to bottom in the same order as the legend lines on the right part of the figure.

Current usage metrics show cumulative count of Article Views (full-text article views including HTML views, PDF and ePub downloads, according to the available data) and Abstracts Views on Vision4Press platform.

Data correspond to usage on the plateform after 2015. The current usage metrics is available 48-96 hours after online publication and is updated daily on week days.

Initial download of the metrics may take a while.