Open Access

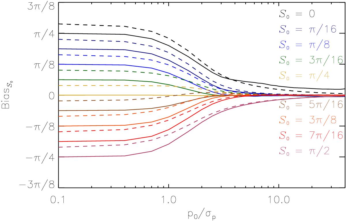
Fig. 12

image

Average bias on 106 MC realizations on conventional (dashed curves) and polynomial (plain curves) estimators in the canonical case of covariance matrix (εeff = 1) for various as a function of p0/σp. The colored curves are shown from top to bottom in the same order as the legend lines on the right part of the figure.

Current usage metrics show cumulative count of Article Views (full-text article views including HTML views, PDF and ePub downloads, according to the available data) and Abstracts Views on Vision4Press platform.

Data correspond to usage on the plateform after 2015. The current usage metrics is available 48-96 hours after online publication and is updated daily on week days.

Initial download of the metrics may take a while.