Open Access

Fig. 2

image

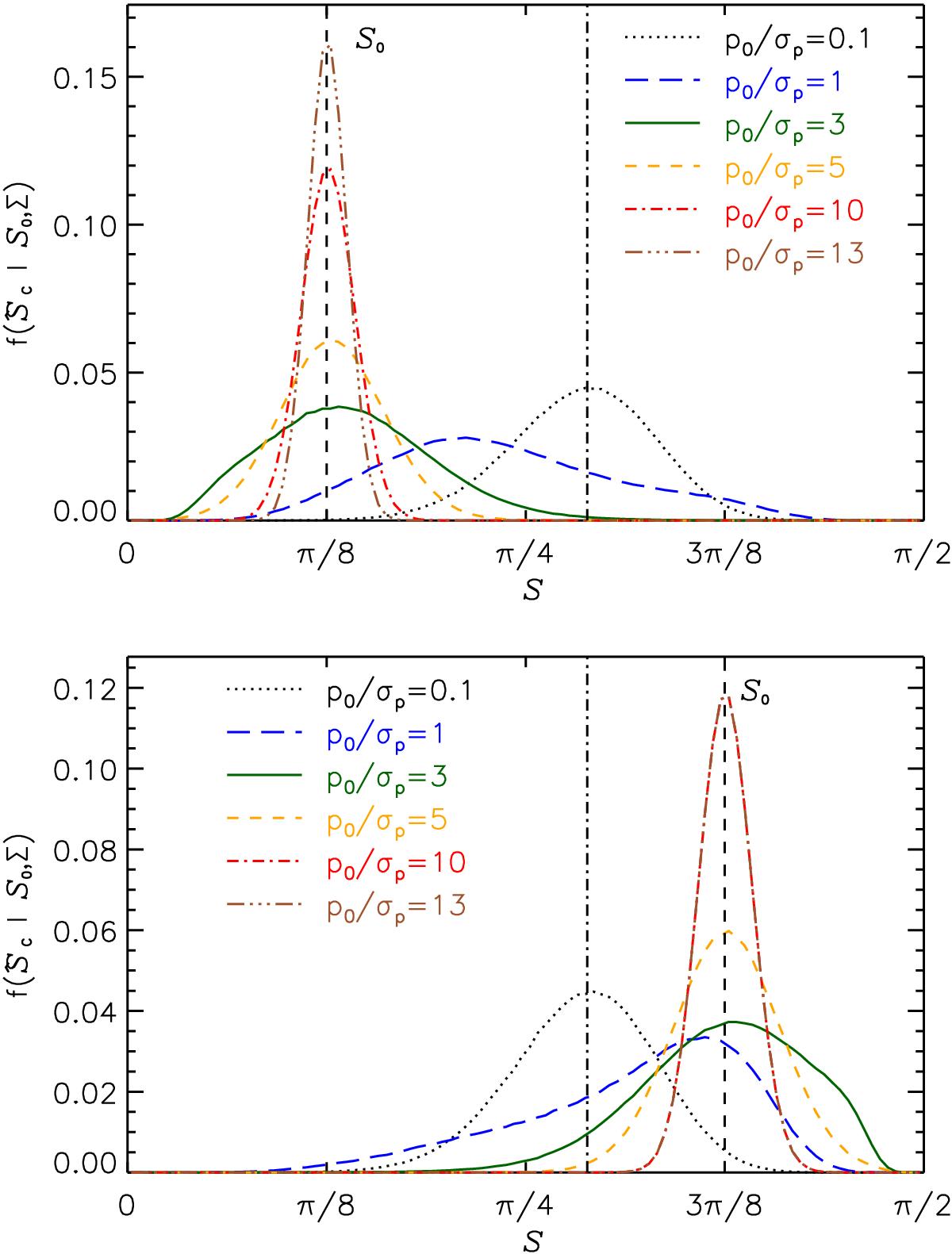
Examples of the simulated distribution functions of the conventional estimator of the dispersion function for different S/Ns of p in the canonical case of the noise covariance matrix. Top: , bottom: . The vertical dashed line shows the true value, and the vertical dash-dotted line shows the value of .

This figure is made of several images, please see below:

Current usage metrics show cumulative count of Article Views (full-text article views including HTML views, PDF and ePub downloads, according to the available data) and Abstracts Views on Vision4Press platform.

Data correspond to usage on the plateform after 2015. The current usage metrics is available 48-96 hours after online publication and is updated daily on week days.

Initial download of the metrics may take a while.