Open Access

Fig. 7

image

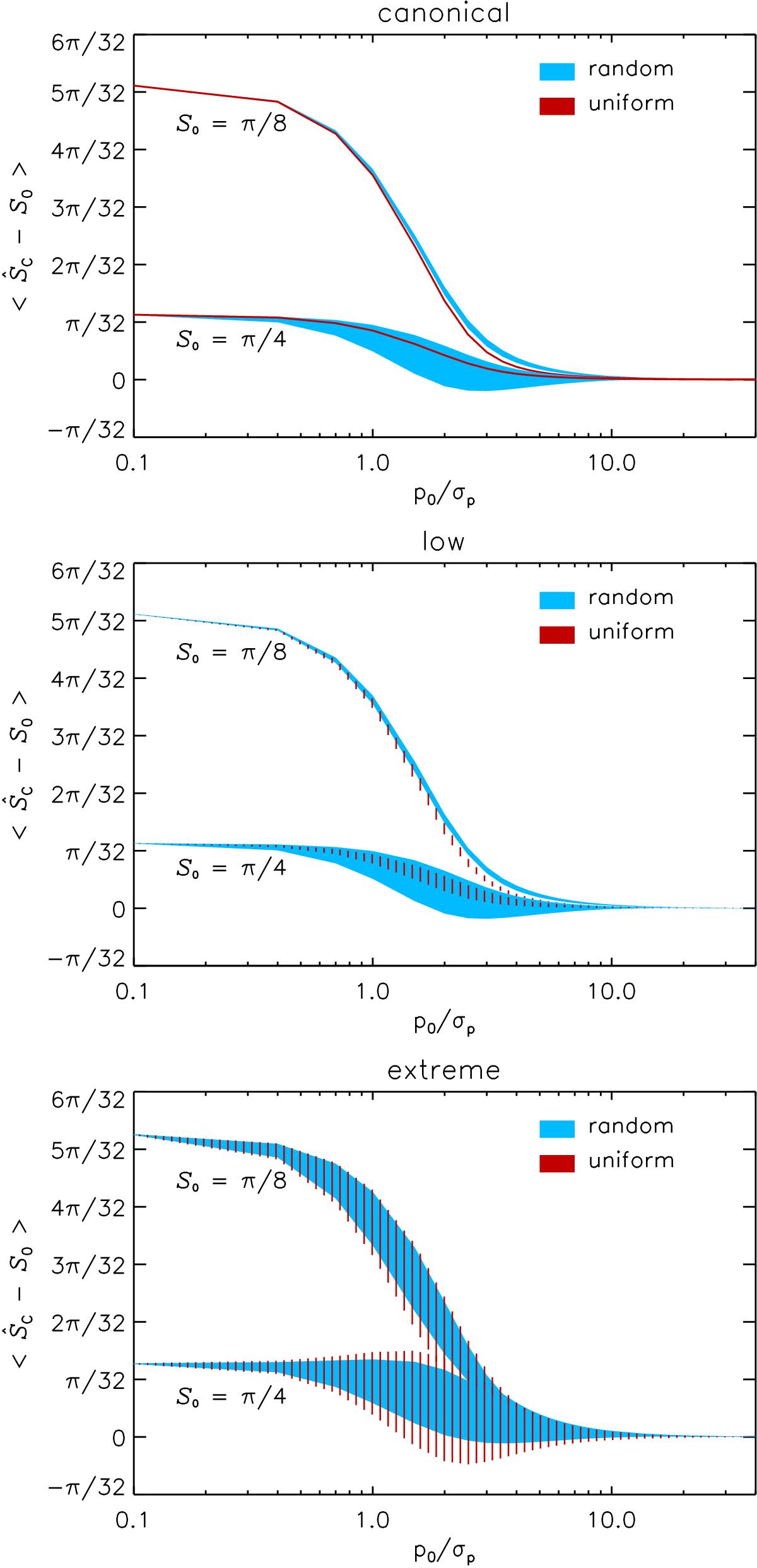
Average bias on 106 MC realizations of the conventional estimator of the polarization angle dispersion function. Blue filled and red hashed areas delimit dispersion over 10 different sets of the true angles distributed randomly (blue) and uniformly (red) in three regimes of the shape of the noise covariance matrix, from top to bottom: canonical, low, extreme regimes.

This figure is made of several images, please see below:

Current usage metrics show cumulative count of Article Views (full-text article views including HTML views, PDF and ePub downloads, according to the available data) and Abstracts Views on Vision4Press platform.

Data correspond to usage on the plateform after 2015. The current usage metrics is available 48-96 hours after online publication and is updated daily on week days.

Initial download of the metrics may take a while.