Free Access

Fig. 12

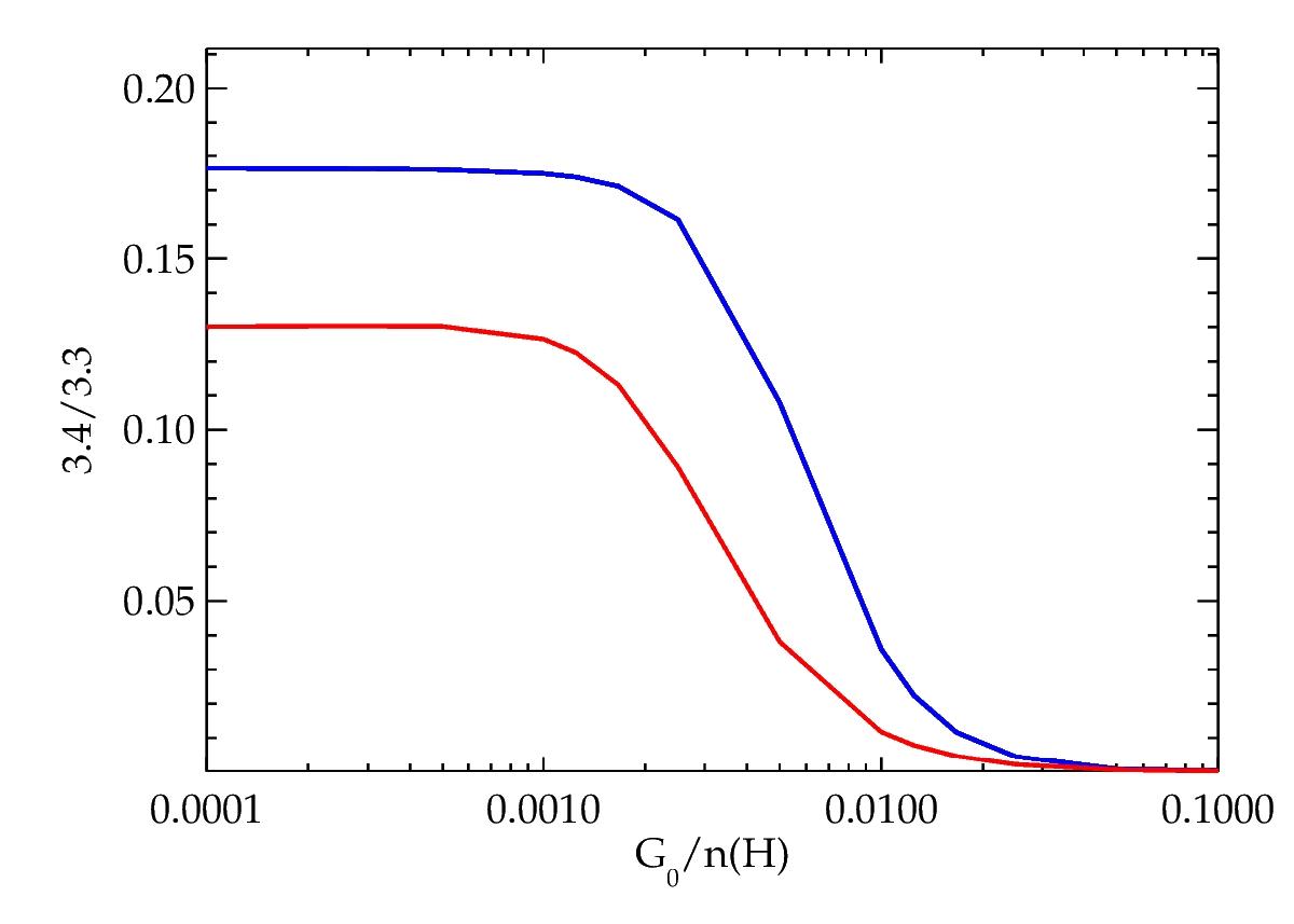
image

Hydrogenation ratio for different G0/n(H) values. The ratios derived from circumcoronene derivatives are shown in blue, while those from circumcircumcoronene derivatives are shown in red. We have assumed a gas temperature of 50 K, and that the fraction of atomic hydrogen is 10% that of molecular hydrogen, in order to model more shielded environments. The 3.4/3.3 ratio traces the superhydrogenation level of the PAHs as the 3.4 μm band is related to the stretching modes of the pair of CH2 complexes within the same ring (which are duo rings for the coronene family). Observed 3.4/3.3 ratios in NGC 7023 range between 0.028 and 0.13, starting from the cavity and going into the NW PDR region, where G0 is expected to vary from 7000–150 (Pilleri et al. 2015). We see that these ratios can be achieved with superhydrogenated species but for G0/n(H) ratios of 0.002–0.006, which is lower than what is expected in the NW PDR of NGC 7023.

Current usage metrics show cumulative count of Article Views (full-text article views including HTML views, PDF and ePub downloads, according to the available data) and Abstracts Views on Vision4Press platform.

Data correspond to usage on the plateform after 2015. The current usage metrics is available 48-96 hours after online publication and is updated daily on week days.

Initial download of the metrics may take a while.