Free Access

Fig. 3

image

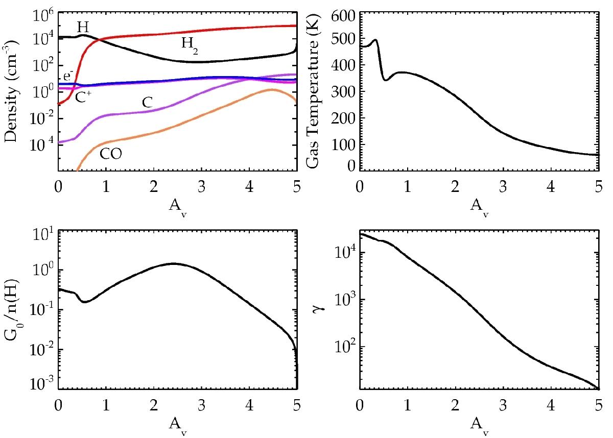
Physical conditions in the NW PDR of NGC 7023. The top panels show the variation of the densities and gas temperature inside the cloud. The H I to H2 transition occurs at an AV ~ 0.9, while the C II–C I transition occurs deeper in the cloud at an AV ~ 4. The bottom panels show the physical parameters relevant for PAH hydrogenation and ionization evolution. The hydrogenation of PAHs is expected to be controlled by the ratio between the UV field intensity G0 and the density of atomic hydrogen, which in our case only varies by about 2 orders of magnitude throughout the cloud. The ionization state of the PAH population on the other hand depends on the so-called ionization parameter, , which measures the ratio between ionization and electron recombination of the PAH species.

Current usage metrics show cumulative count of Article Views (full-text article views including HTML views, PDF and ePub downloads, according to the available data) and Abstracts Views on Vision4Press platform.

Data correspond to usage on the plateform after 2015. The current usage metrics is available 48-96 hours after online publication and is updated daily on week days.

Initial download of the metrics may take a while.