Free Access

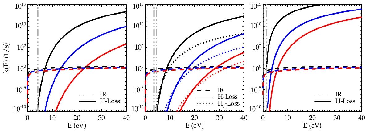
Fig. 5

image

Comparison of IR emission and photodissociation rates as a function of internal energy of the PAH. The rates determined for coronene derivatives are shown in black, while the rates for circumcoronene and circumcircumcoronene are shown in blue and red respectively, following the color scheme of Fig. 4. The grey vertical lines show the activation energies assumed listed in Table 2. The left panel shows the rates for the first dehydrogenated state of each parent molecule in their neutral state (C24H, C54H and C96H), in order to exemplify the rates for molecules with an odd number of H atoms. The middle panel shows the rates for the parent neutral molecules, illustrating the H and H2-loss rates for PAHs with an even number of H atoms. The right panel shows the rates for the first superhydrogenated state of the neutral molecules (i.e., C24H, C54H, and C96H) for which no direct H2-loss is considered. IR emission rates as a function of internal energy, kIR(E), have been calculated using the IR cross sections of each molecule whenever available (see Appendix A). For C24H and C96H we have assumed the intrinsic frequencies of the parent molecules.

Current usage metrics show cumulative count of Article Views (full-text article views including HTML views, PDF and ePub downloads, according to the available data) and Abstracts Views on Vision4Press platform.

Data correspond to usage on the plateform after 2015. The current usage metrics is available 48-96 hours after online publication and is updated daily on week days.

Initial download of the metrics may take a while.