Free Access

Fig. 8

image

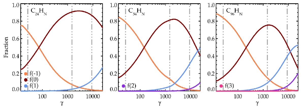
Charge distribution of the PAHs considered in our study. The contribution from each ionization state is shown as a function of the ionization parameter γ for coronene (left panel), circumcoronene (middle panel) and circumcircumcoronene (right panel) derivatives. The color scheme is the same for all panels. Dashed grey lines are at AV = 1, 2 and 4. As observed from the panels, the main charge states throughout the cloud are the neutrals (Z = 0), anions (Z = −1) and cations (Z = 1). Higher positively charged states are only present in minor levels at the surface of the NW PDR of NGC 7023. Higher anionic states (Z< −1) are not observed.

Current usage metrics show cumulative count of Article Views (full-text article views including HTML views, PDF and ePub downloads, according to the available data) and Abstracts Views on Vision4Press platform.

Data correspond to usage on the plateform after 2015. The current usage metrics is available 48-96 hours after online publication and is updated daily on week days.

Initial download of the metrics may take a while.