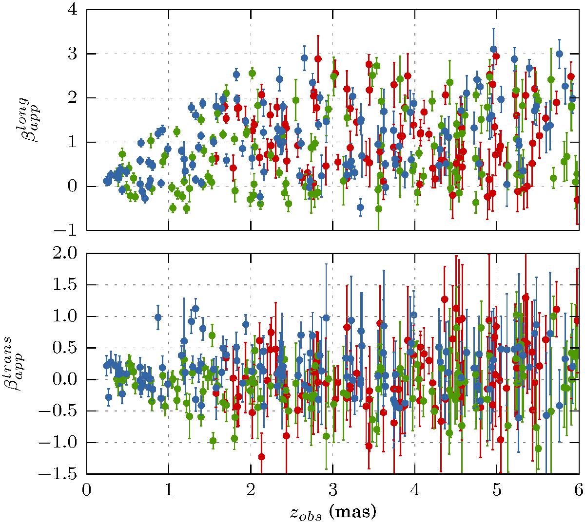
Fig. 3

Longitudinal (top) and transverse (bottom) velocities of significant structural patterns identified in the M 87 jet. Colors indicate respective jet regions in which given SSPs are located (following the color coding introduced Fig. 2): green and blue mark the SSPs from the northern and southern limb, respectively, and red marks the SSPs from the central stream.
Current usage metrics show cumulative count of Article Views (full-text article views including HTML views, PDF and ePub downloads, according to the available data) and Abstracts Views on Vision4Press platform.
Data correspond to usage on the plateform after 2015. The current usage metrics is available 48-96 hours after online publication and is updated daily on week days.
Initial download of the metrics may take a while.