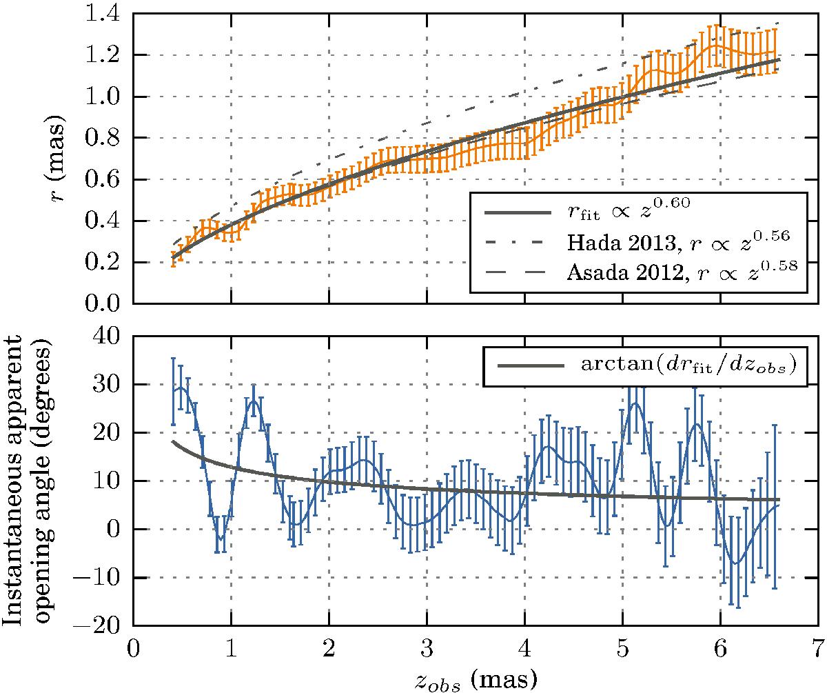
Fig. 6

Evolution of the radius (top panel) and instantaneous apparent opening angle (bottom panel) of the jet in M 87 with distance from the core. A power law fit to the jet radius is consistent with results obtained by Asada & Nakamura (2012; dashed line) and Hada et al. (2013; dashed dotted line). Evolution of the instantaneous opening angle corresponding to the power law fit obtained for the jet radius is shown by the solid gray line in the bottom panel.
Current usage metrics show cumulative count of Article Views (full-text article views including HTML views, PDF and ePub downloads, according to the available data) and Abstracts Views on Vision4Press platform.
Data correspond to usage on the plateform after 2015. The current usage metrics is available 48-96 hours after online publication and is updated daily on week days.
Initial download of the metrics may take a while.