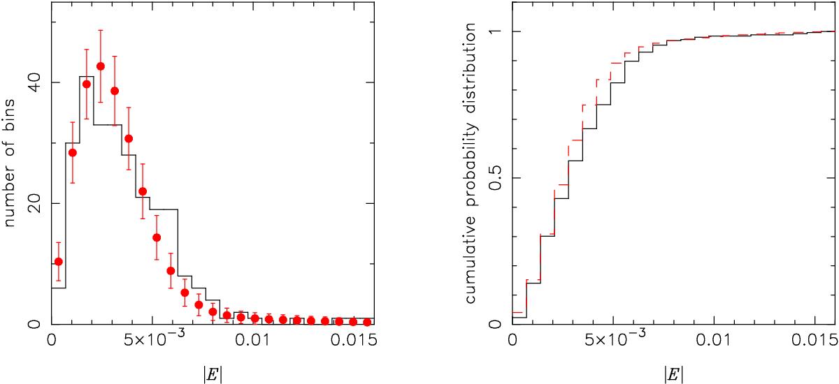
Fig. 2

Left-hand panel: histogram of mean ellipticity values in the G2 grid. The black line shows the distribution for the original CFHTLenS catalogue, the red dots indicate the mean and scatter of 10 000 realisations where the ellipticities were randomised. Right-hand panel: cumulative probability distribution of the observed and randomised histograms.
Current usage metrics show cumulative count of Article Views (full-text article views including HTML views, PDF and ePub downloads, according to the available data) and Abstracts Views on Vision4Press platform.
Data correspond to usage on the plateform after 2015. The current usage metrics is available 48-96 hours after online publication and is updated daily on week days.
Initial download of the metrics may take a while.