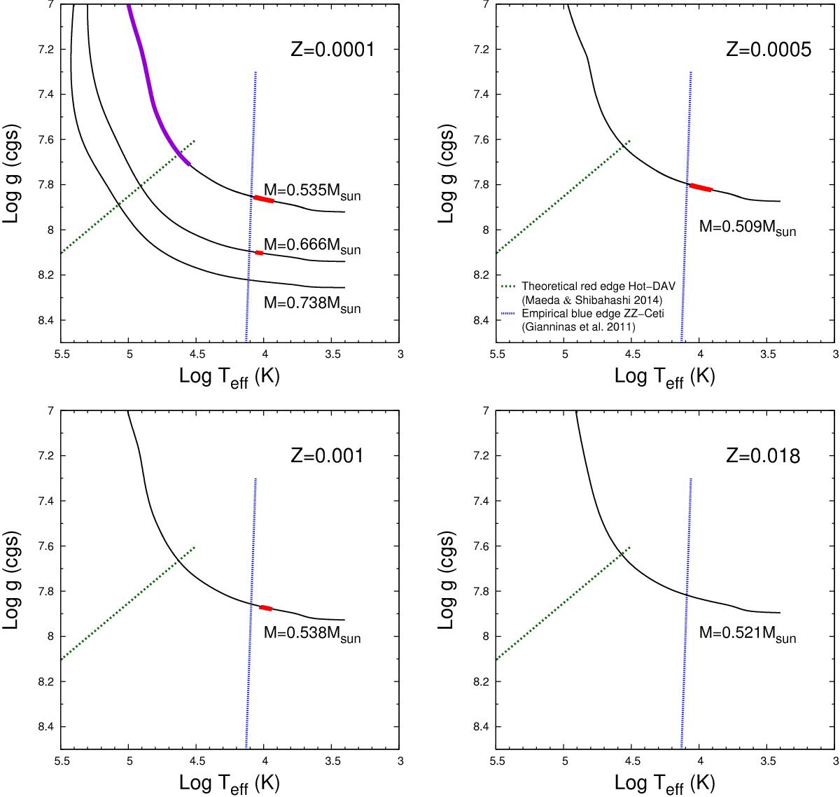
Fig. 1

Evolutionary tracks of white dwarf models with M⋆ ~ 0.51−0.54 M⊙ on the log Teff − log g plane. Each panel corresponds to a different metallicity value (Z) of the white dwarf progenitors. For the case of Z = 0.0001 we include two additional sequences with masses M⋆ = 0.666 M⊙ and M⋆ = 0.738 M⊙. Red thick segments on the tracks at log Teff ~ 4 correspond to DA white dwarf models having the dipole g1-mode destabilized mostly by the ε mechanism acting at the hydrogen burning shell. The violet thick segment in the case of the M⋆ = 0.535 M⊙ and Z = 0.0001 sequence corresponds to models with unstable low-order g-modes (g1 to g4) destabilized solely by the ε mechanism. The dashed green line indicates the theoretical red edge of the instability domain of pre-white-dwarfs with hydrogen-rich envelopes evolved from MZAMS ≥ 1.5 M⊙ with solar metallicity found by Maeda & Shibahashi (2014). The almost vertical dotted blue line corresponds to the empirical blue edge of the instability domain of ZZ Ceti stars reported by Gianninas et al. (2011).
Current usage metrics show cumulative count of Article Views (full-text article views including HTML views, PDF and ePub downloads, according to the available data) and Abstracts Views on Vision4Press platform.
Data correspond to usage on the plateform after 2015. The current usage metrics is available 48-96 hours after online publication and is updated daily on week days.
Initial download of the metrics may take a while.