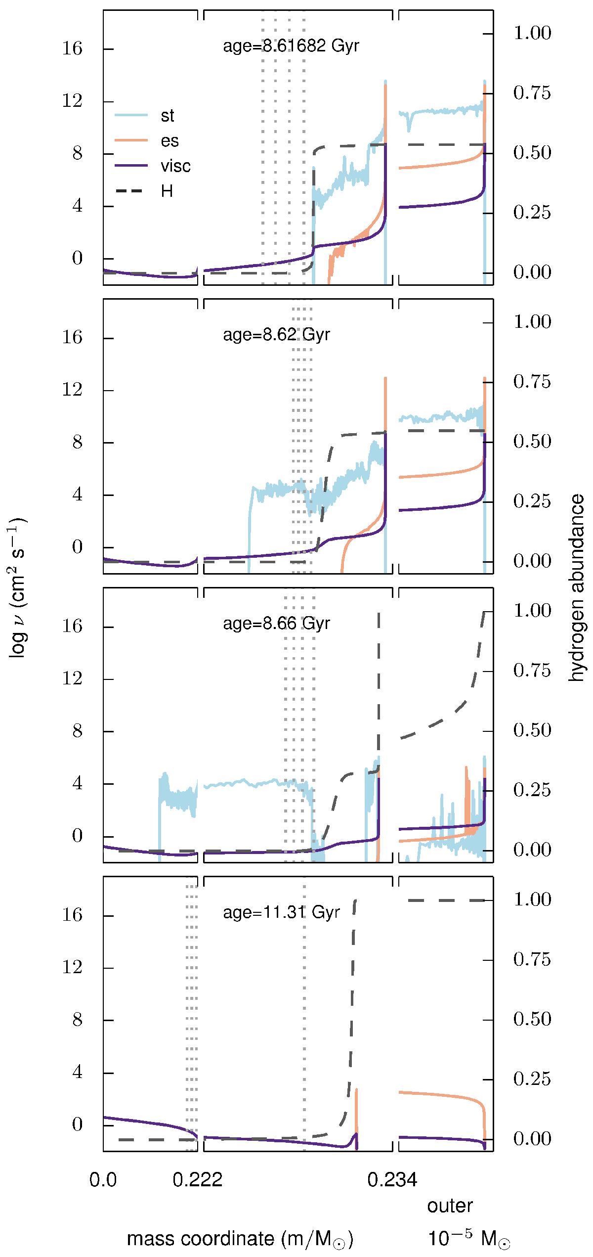
Fig. 8

Angular momentum diffusion coefficient, ν as function of mass coordinate from the centre (left) to the surface of the star (right) for the same proto-WD as in Fig. 7. Processes included are Spruit-Tayler dynamo (st), Eddington-Sweet circulation (es), and electron viscosity (visc). Each panel (from top to bottom) corresponds to a profile as marked by the black arrows in Fig. 7 (from left to right). The grey dotted lines define lines of constant hydrogen abundance, from 10-5 to 10-2, while the black dashed line represents the hydrogen mass abundance.
Current usage metrics show cumulative count of Article Views (full-text article views including HTML views, PDF and ePub downloads, according to the available data) and Abstracts Views on Vision4Press platform.
Data correspond to usage on the plateform after 2015. The current usage metrics is available 48-96 hours after online publication and is updated daily on week days.
Initial download of the metrics may take a while.