Free Access
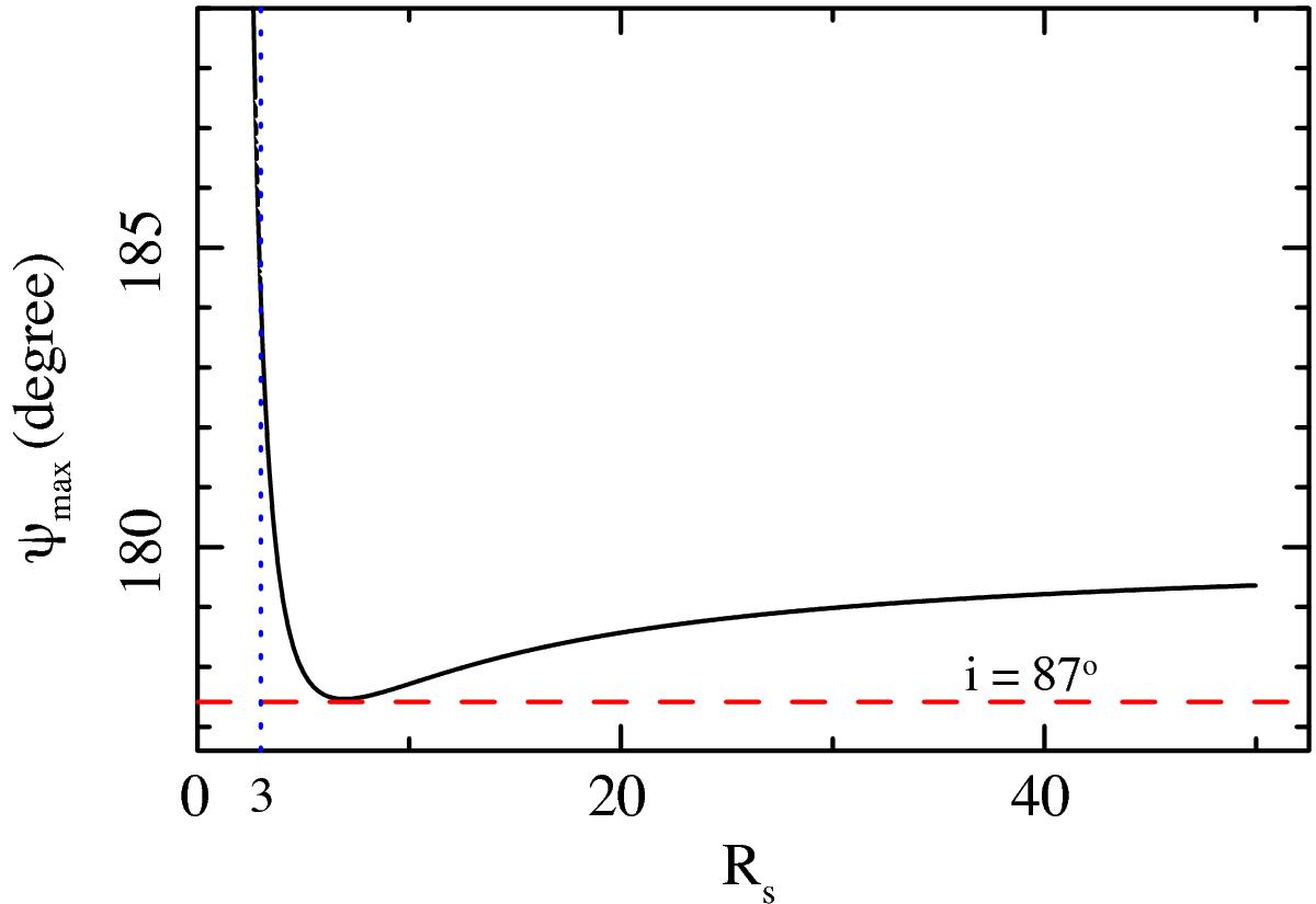
Fig. 10

Largest bending angle ψmax, vs. the emission radius (continuous black line). For inclination angles below i = 87° (dashed red line) the approximate equations provide a high accuracy, since they are below the ψmax-value. R = 3rs (dotted blue line) separates the applicability region from the strong-field regime (R< 3rs).
Current usage metrics show cumulative count of Article Views (full-text article views including HTML views, PDF and ePub downloads, according to the available data) and Abstracts Views on Vision4Press platform.
Data correspond to usage on the plateform after 2015. The current usage metrics is available 48-96 hours after online publication and is updated daily on week days.
Initial download of the metrics may take a while.