Free Access
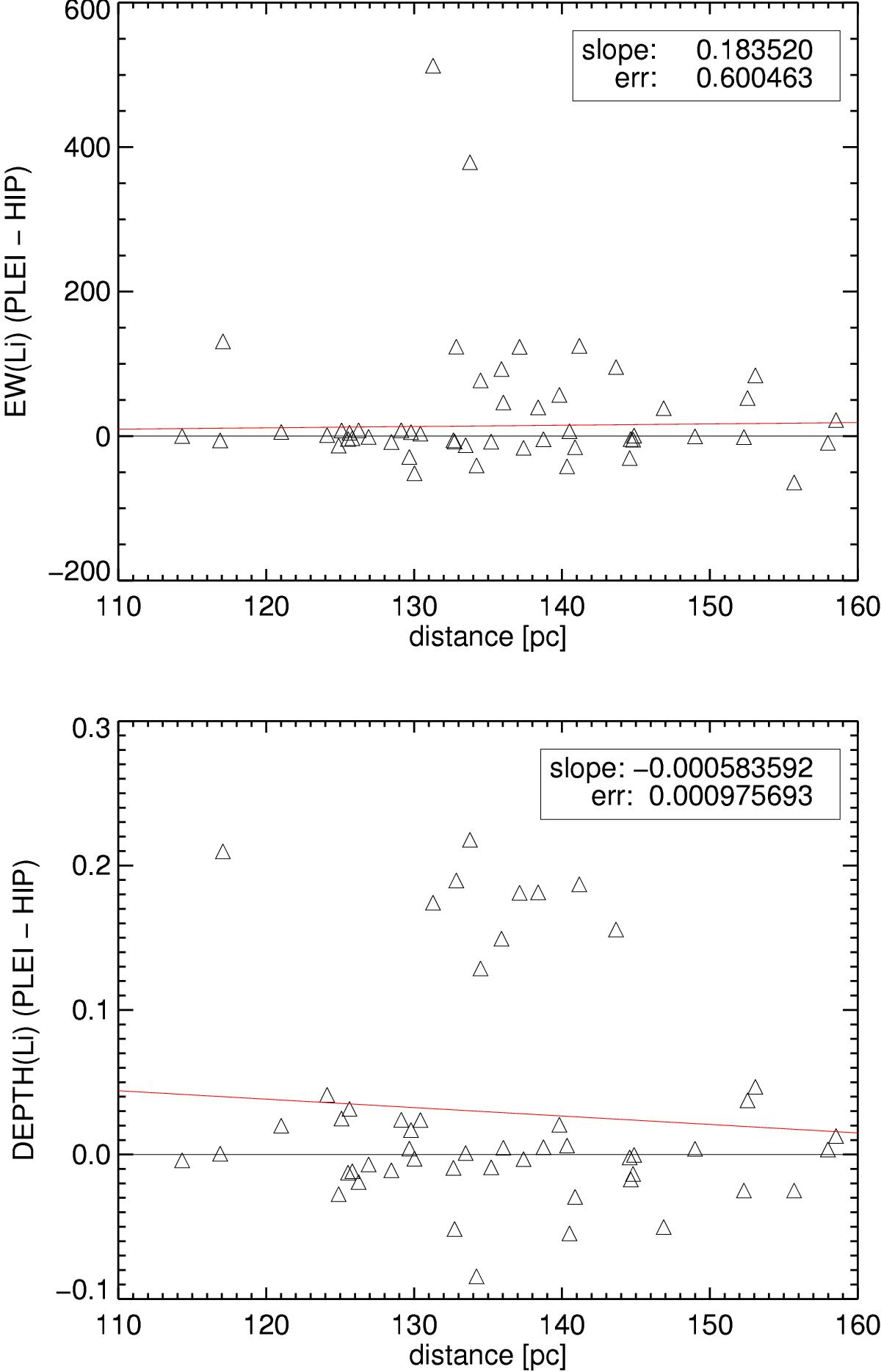
Fig. 5

Difference of the Li equivalent widths and depth as a function of distance for the Pleiades-field twins. The red line indicates the linear fit of the data, with the slope and error of slope indicated in the legend. No correlation between the difference of Li abundance and distance has been found.
Current usage metrics show cumulative count of Article Views (full-text article views including HTML views, PDF and ePub downloads, according to the available data) and Abstracts Views on Vision4Press platform.
Data correspond to usage on the plateform after 2015. The current usage metrics is available 48-96 hours after online publication and is updated daily on week days.
Initial download of the metrics may take a while.