Free Access

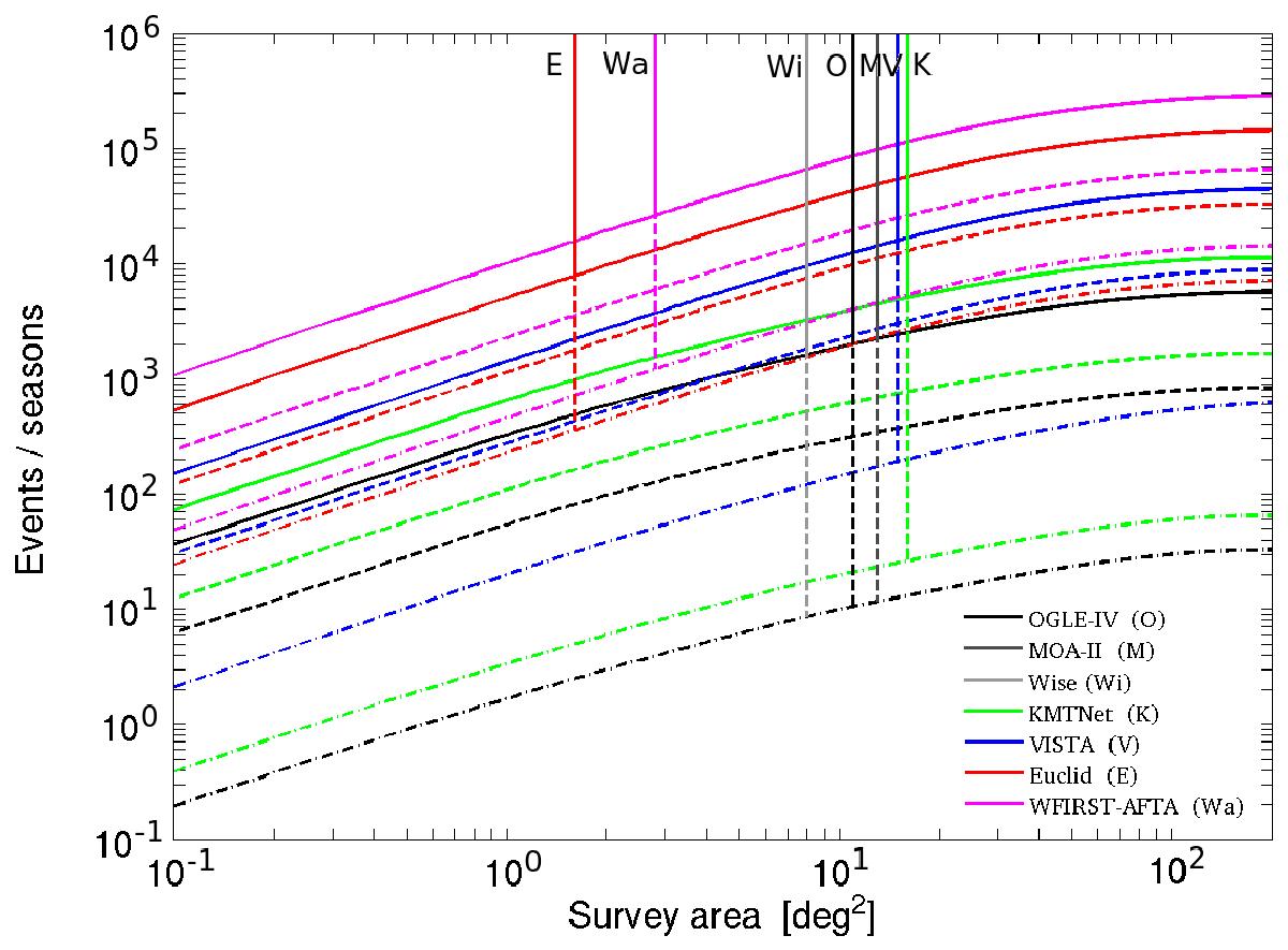
Fig. 9

image

Optimised event rate versus survey area for FFPs of Jupiter mass (solid lines), Neptune mass (dashed lines) and Earth mass (dot-dashed lines). The survey area is assumed to be distributed around the regions of maximum yield for that area, and therefore do not necessarily involve contiguous survey areas. Yields are indicated for several current and proposed ground- and space-based surveys, assuming the areas and efficiencies listed in Table 5. For the space-based programmes the number of events refers to the yield for the whole proposed observation baseline, whilst for other surveys the number of events refers to a single observing season.

Current usage metrics show cumulative count of Article Views (full-text article views including HTML views, PDF and ePub downloads, according to the available data) and Abstracts Views on Vision4Press platform.

Data correspond to usage on the plateform after 2015. The current usage metrics is available 48-96 hours after online publication and is updated daily on week days.

Initial download of the metrics may take a while.