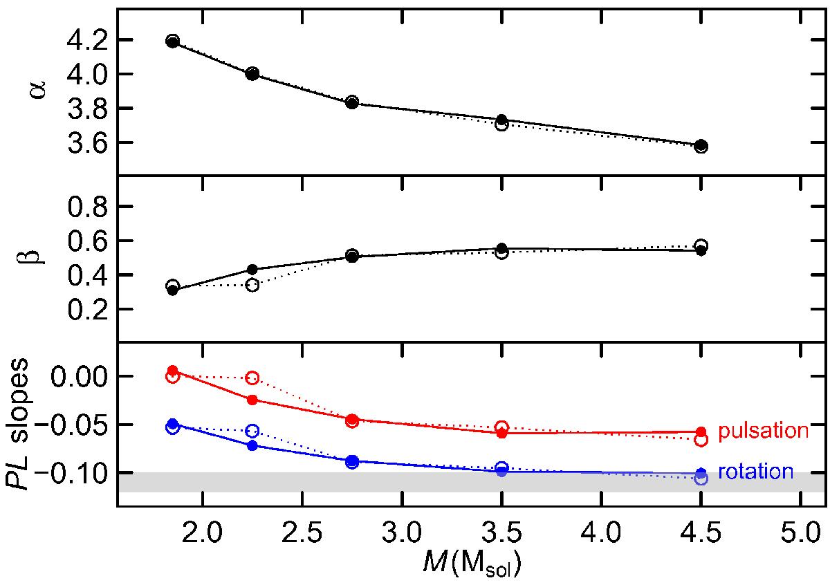
Fig. D.1

Top panel: α exponent (L ∝ Mα) of zero-age main sequence stars derived from stellar models of Georgy et al. (2013) computed without rotation (filled circles connected with dotted lines) or with a near-critical rotation rate corresponding to an angular momentum ratio Ω/Ωcrit = 0.95 (open circles connected with solid lines). Middle panel: same as top panel, but for the β exponent (R ∝ Mβ). Bottom panel: slopes of PL relations (in units of 1/mag) using Eqs. (3) (lower blue lines) and 2 (upper red lines) derived from analytical arguments that assume an origin of the PL relation linked to rotation and Cepheid-like pulsation, respectively. The horizontal shaded area represents the slope value of (− 0.11 ± 0.01)/mag obtained from observations.
Current usage metrics show cumulative count of Article Views (full-text article views including HTML views, PDF and ePub downloads, according to the available data) and Abstracts Views on Vision4Press platform.
Data correspond to usage on the plateform after 2015. The current usage metrics is available 48-96 hours after online publication and is updated daily on week days.
Initial download of the metrics may take a while.