Free Access

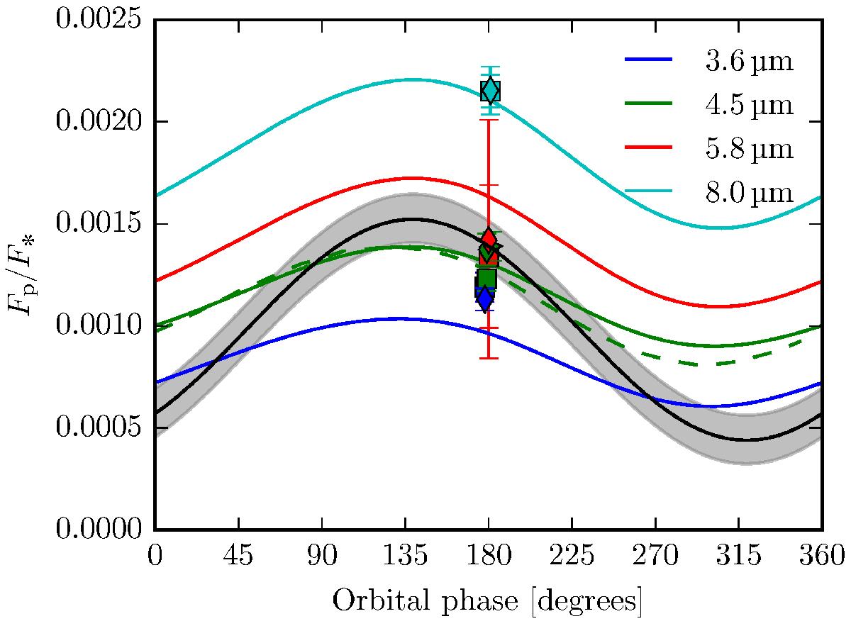
Fig. 11

image

Same as Fig. 6, but the synthetic emission spectrum has been calculated using results from our coupled model (Sect. 4) with ATMO. The dashed line is the model 4.5 μm phase curve from Zellem et al. (2014) obtained using the GCM of Showman et al. (2009) without TiO and VO.

Current usage metrics show cumulative count of Article Views (full-text article views including HTML views, PDF and ePub downloads, according to the available data) and Abstracts Views on Vision4Press platform.

Data correspond to usage on the plateform after 2015. The current usage metrics is available 48-96 hours after online publication and is updated daily on week days.

Initial download of the metrics may take a while.