Free Access

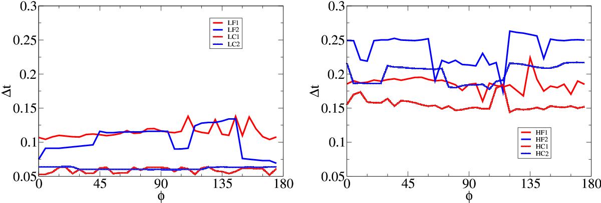
Fig. 6

image

Variation in φ of the critical Δt interval length when the behaviour of the distributions change. The flattening is fixed to qz = 1.25. This critical interval length reflects the timescales when the dynamical flow reaches the global regime. Left: L-orbits, close to the disc orbits. Right: H-orbits, initial conditions with higher z.

This figure is made of several images, please see below:

Current usage metrics show cumulative count of Article Views (full-text article views including HTML views, PDF and ePub downloads, according to the available data) and Abstracts Views on Vision4Press platform.

Data correspond to usage on the plateform after 2015. The current usage metrics is available 48-96 hours after online publication and is updated daily on week days.

Initial download of the metrics may take a while.