Free Access
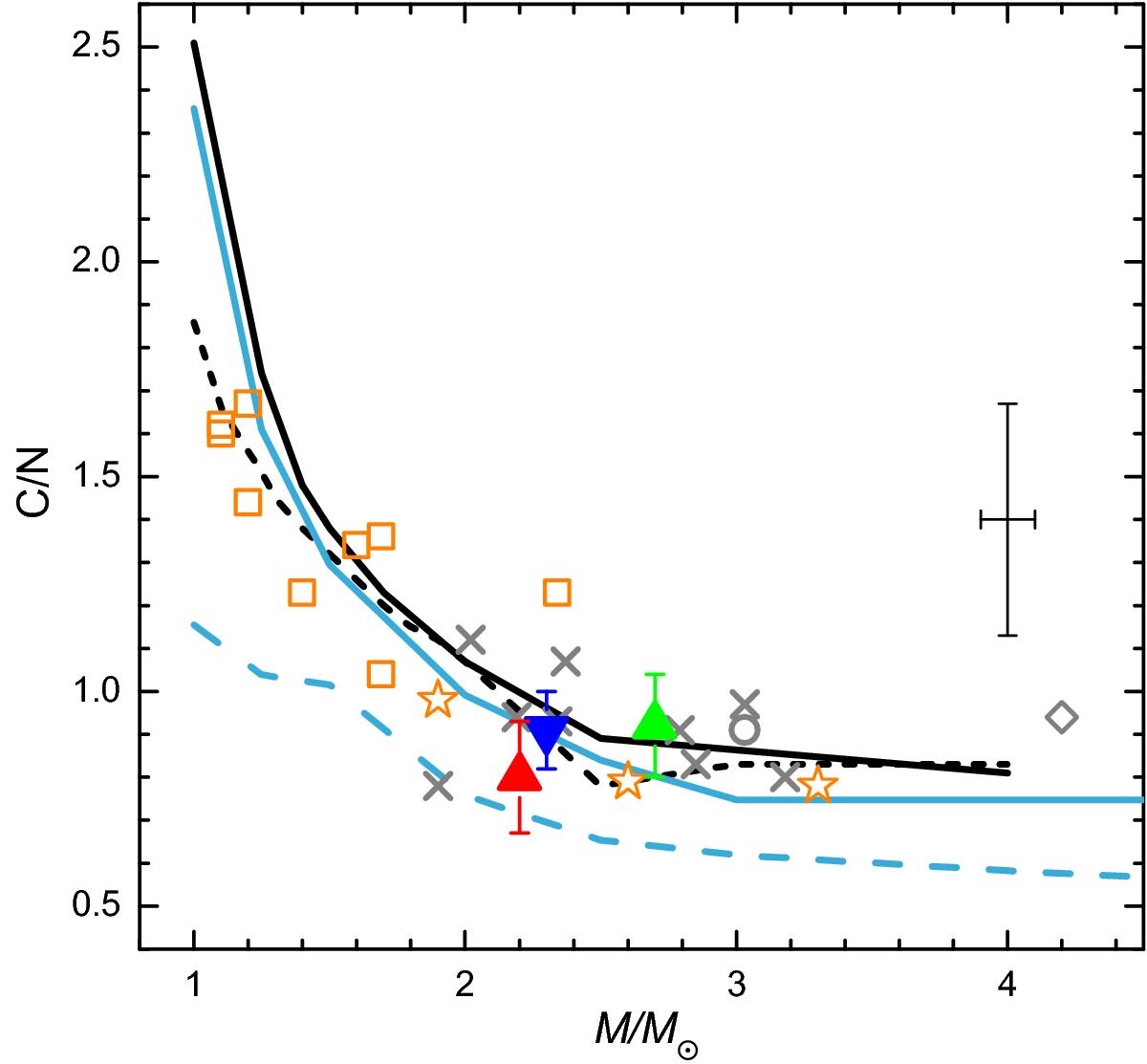
Fig. 9

Average C/N ratios in clump stars of open clusters a a function of stellar turn-off mass. The meaning of the symbols is the same as in Fig. 8. Results from Tautvaišienė et al. (2015) are shown as open stars.
Current usage metrics show cumulative count of Article Views (full-text article views including HTML views, PDF and ePub downloads, according to the available data) and Abstracts Views on Vision4Press platform.
Data correspond to usage on the plateform after 2015. The current usage metrics is available 48-96 hours after online publication and is updated daily on week days.
Initial download of the metrics may take a while.