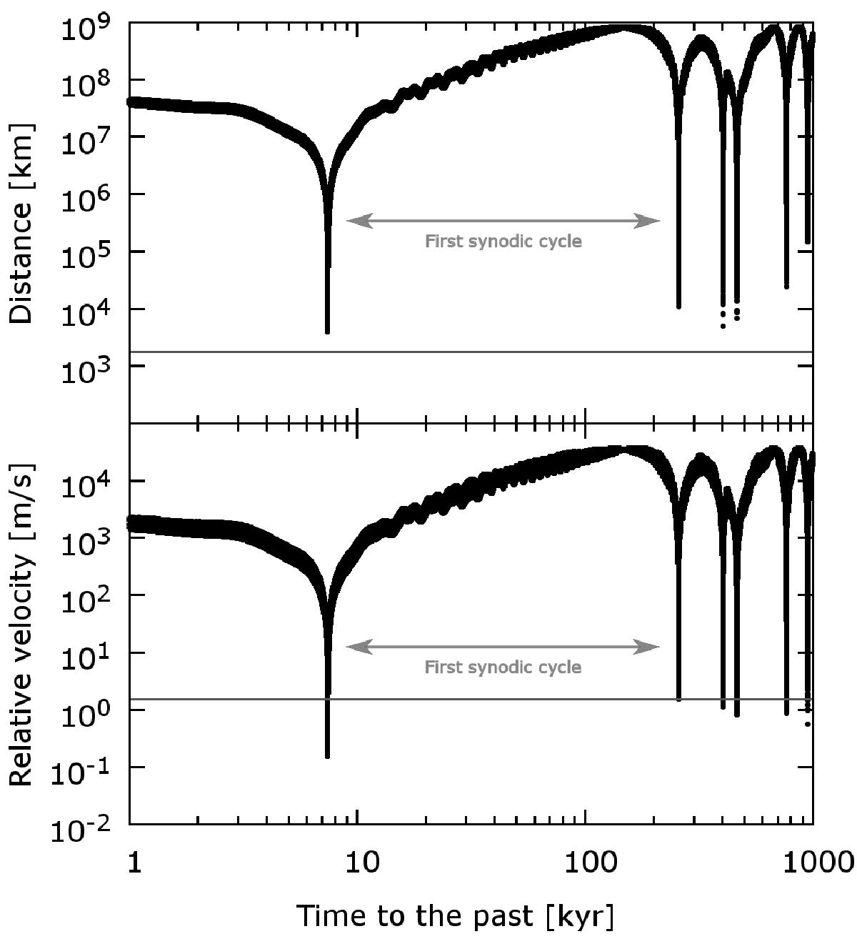
Fig. 4

Repetition of the geometric configuration of the nominal orbits for (87887) 2000 SS286 and (415992) 2002 AT49 (no thermal accelerations included in this run; note the logarithmic scale of the abscissa). The top panel shows the mutual distance of the two asteroids, the bottom panel shows their relative velocity. Both functions have deep minima at conjunctions. The first occurs ~7.42 kyr ago, followed by the second at ≃ 257 kyr after completing one synodic cycle of their relative motion. The gray level line at the top shows a distance of 3 RHill, while that at the bottom shows Vesc of the parent body.
Current usage metrics show cumulative count of Article Views (full-text article views including HTML views, PDF and ePub downloads, according to the available data) and Abstracts Views on Vision4Press platform.
Data correspond to usage on the plateform after 2015. The current usage metrics is available 48-96 hours after online publication and is updated daily on week days.
Initial download of the metrics may take a while.