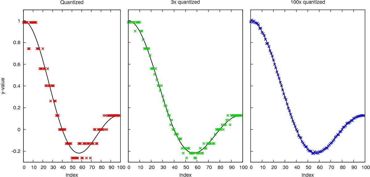
Fig. 3

A quantization example using the Gaussian-optimized least-squares quantization scheme with dithering to quantize a sinc function. 4-bit quantization and a single scaling factor were used. Left plot: result of encoding and decoding. Because the quantization is optimized for Gaussian distributed values, the quantization steps are smaller near zero. Central and right plot: average of 3 and 100 times encoding and decoding respectively.
Current usage metrics show cumulative count of Article Views (full-text article views including HTML views, PDF and ePub downloads, according to the available data) and Abstracts Views on Vision4Press platform.
Data correspond to usage on the plateform after 2015. The current usage metrics is available 48-96 hours after online publication and is updated daily on week days.
Initial download of the metrics may take a while.