Free Access
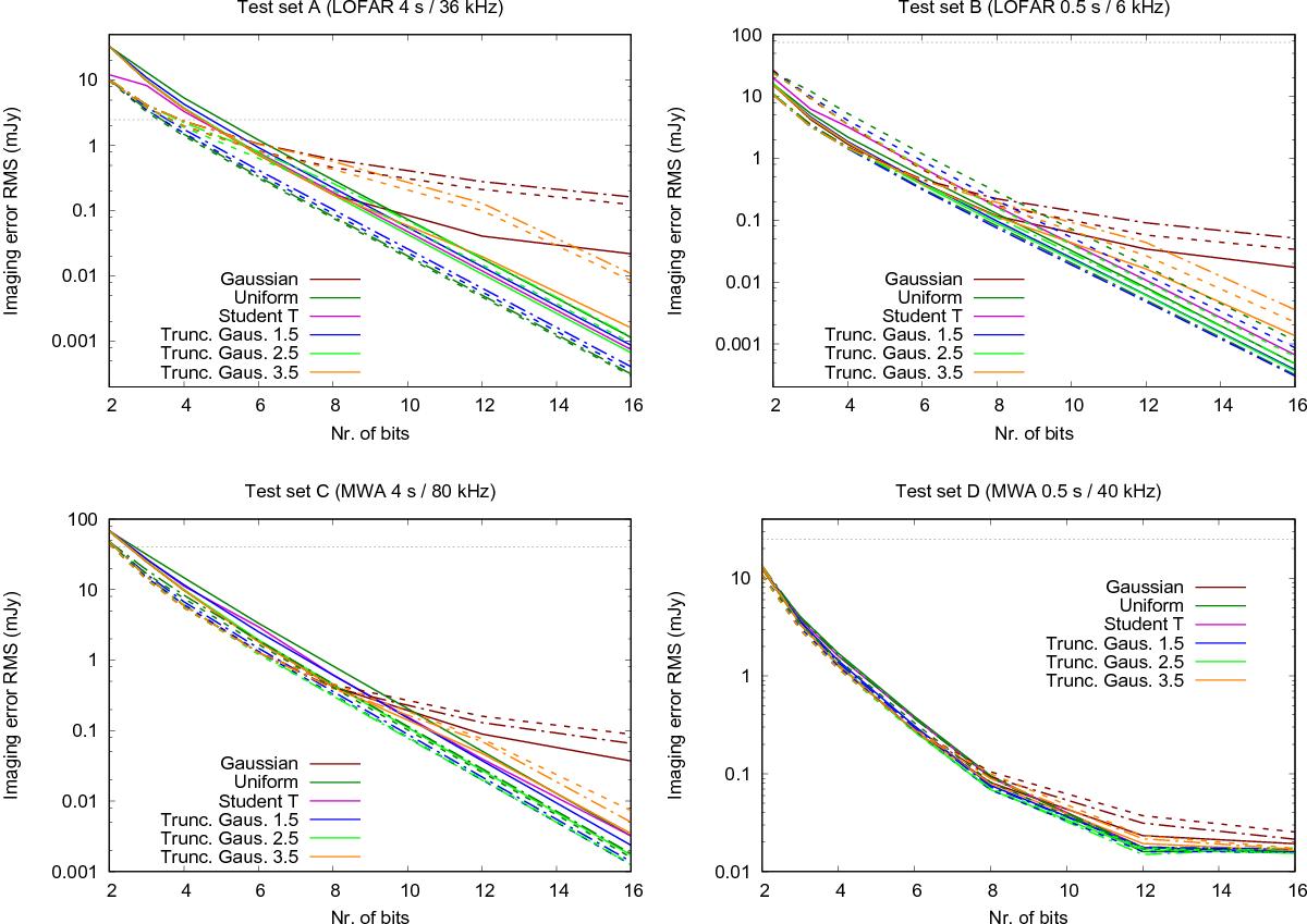
Fig. 4

Compression noise rms values for different quantization schemes and test sets, determined by measuring the rms in the difference between images processed with and without compression. The horizontal dashed grey line indicates the system noise level.
Current usage metrics show cumulative count of Article Views (full-text article views including HTML views, PDF and ePub downloads, according to the available data) and Abstracts Views on Vision4Press platform.
Data correspond to usage on the plateform after 2015. The current usage metrics is available 48-96 hours after online publication and is updated daily on week days.
Initial download of the metrics may take a while.