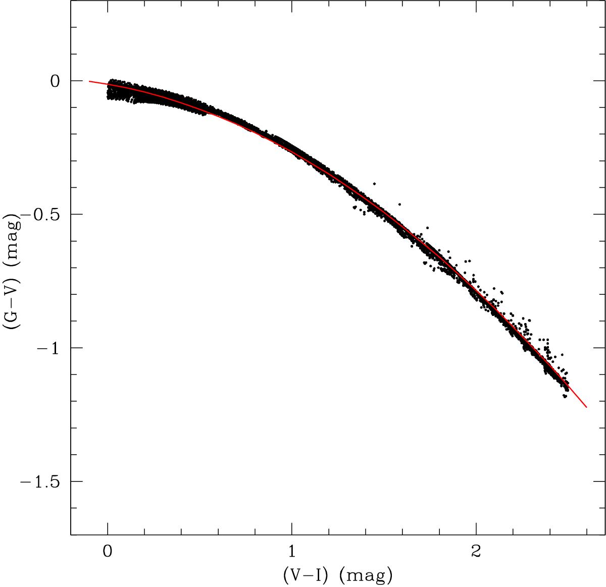
Fig. A.1

Conversion relation (red curve) used in the present paper to transform Johnson V, I to the Gaia G-band (Eq. (A.1)). The relation was computed by interpolating in the grid of models by Jordi et al. (2010) and subsequent updates (black solid points). New transformations have now been computed using Gaia real data (van Leeuwen et al. 2016); they supersede the formula provided here.
Current usage metrics show cumulative count of Article Views (full-text article views including HTML views, PDF and ePub downloads, according to the available data) and Abstracts Views on Vision4Press platform.
Data correspond to usage on the plateform after 2015. The current usage metrics is available 48-96 hours after online publication and is updated daily on week days.
Initial download of the metrics may take a while.