Free Access
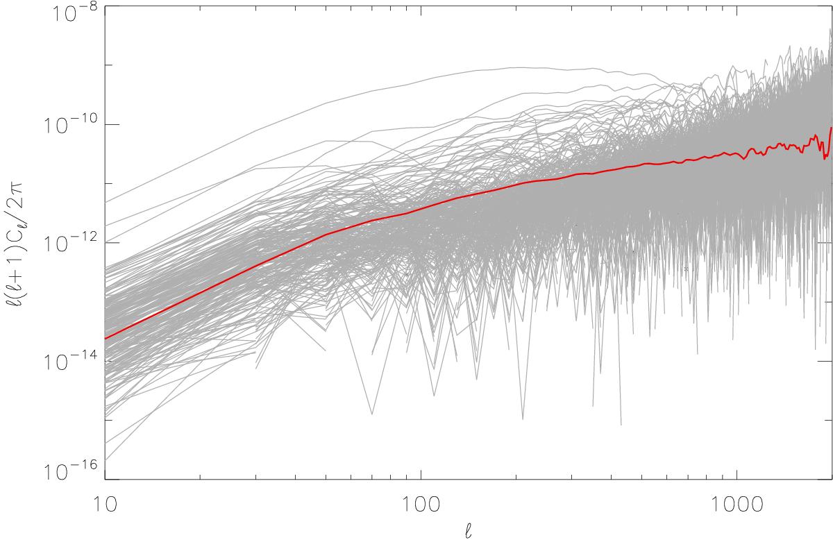
Fig. 2

X-SZ cross correlation power spectrum, measured on 60% of the sky (solid red line) and measured in small sky regions, fsky < 0.13% (solid gray lines). For readability, uncertainties are not displayed in the figure (see Hurier et al. 2015, for the uncertainty level on the total X-SZ cross power spectrum).
Current usage metrics show cumulative count of Article Views (full-text article views including HTML views, PDF and ePub downloads, according to the available data) and Abstracts Views on Vision4Press platform.
Data correspond to usage on the plateform after 2015. The current usage metrics is available 48-96 hours after online publication and is updated daily on week days.
Initial download of the metrics may take a while.