Free Access

Fig. 1

image

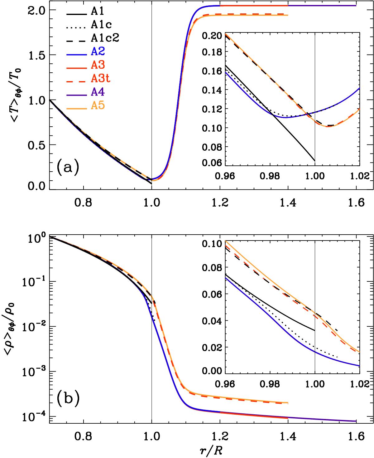
Radial profiles of azimuthally and latitudinally averaged temperature Tθφa) and density ρθφb) normalized by their values at the bottom of the domain, T0 or ρ0, respectively for Set A. The inlays show the radial profiles near the surface.

Current usage metrics show cumulative count of Article Views (full-text article views including HTML views, PDF and ePub downloads, according to the available data) and Abstracts Views on Vision4Press platform.

Data correspond to usage on the plateform after 2015. The current usage metrics is available 48-96 hours after online publication and is updated daily on week days.

Initial download of the metrics may take a while.