Free Access

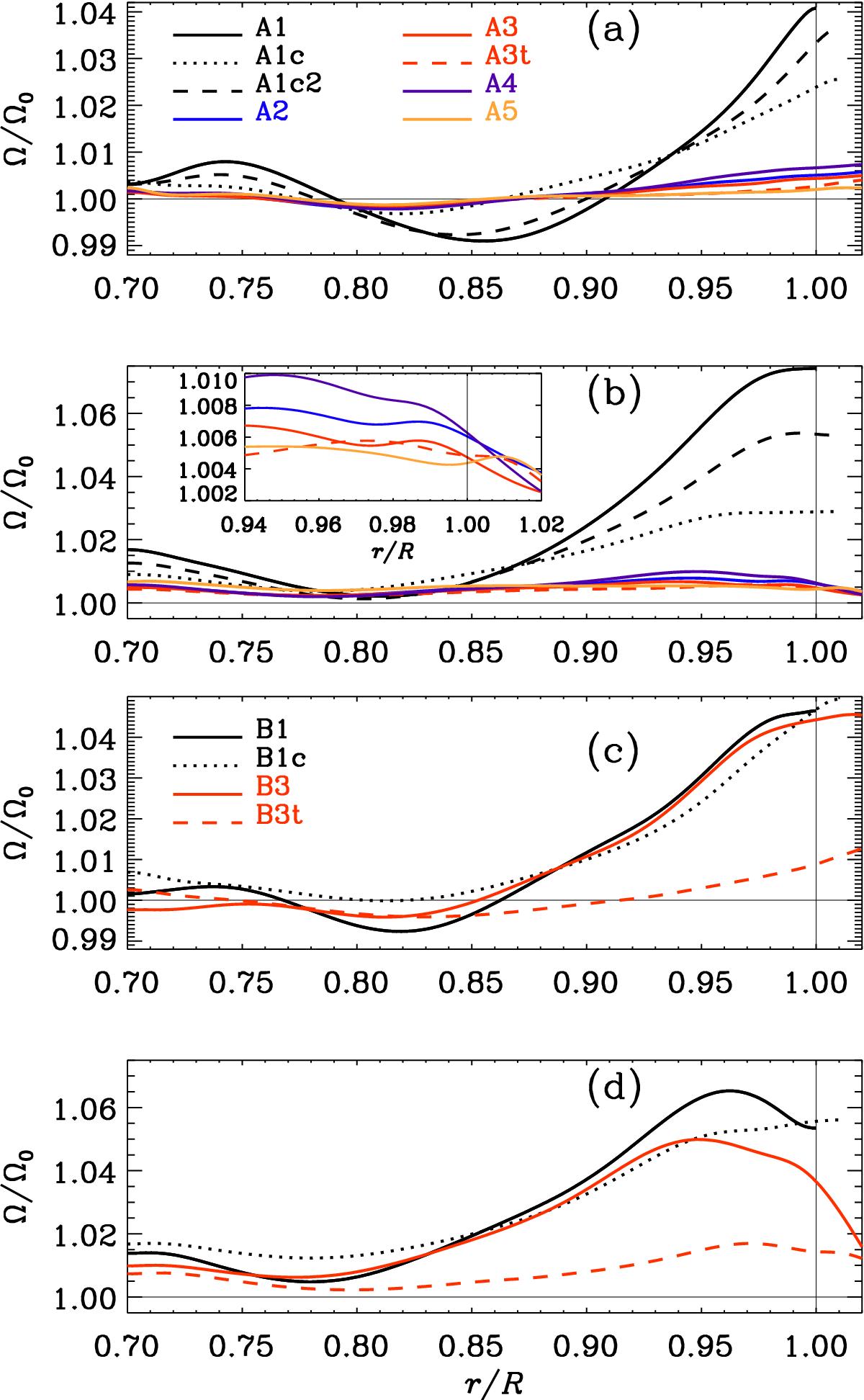
Fig. 5

image

Differential rotation Ω(r,θ)/Ω0 as a function of radius for all runs of Set A at θ = 75° (15° latitude) a), and at the equator θ = π/ 2b), and Set B at mid-latitudes θ = 75°c), and at the equator θ = π/ 2d). The inlay in b) shows the angular velocity near the surface for Runs A2, A3, A3t, A4, and A5.

This figure is made of several images, please see below:

Current usage metrics show cumulative count of Article Views (full-text article views including HTML views, PDF and ePub downloads, according to the available data) and Abstracts Views on Vision4Press platform.

Data correspond to usage on the plateform after 2015. The current usage metrics is available 48-96 hours after online publication and is updated daily on week days.

Initial download of the metrics may take a while.