Free Access

Fig. 9

image

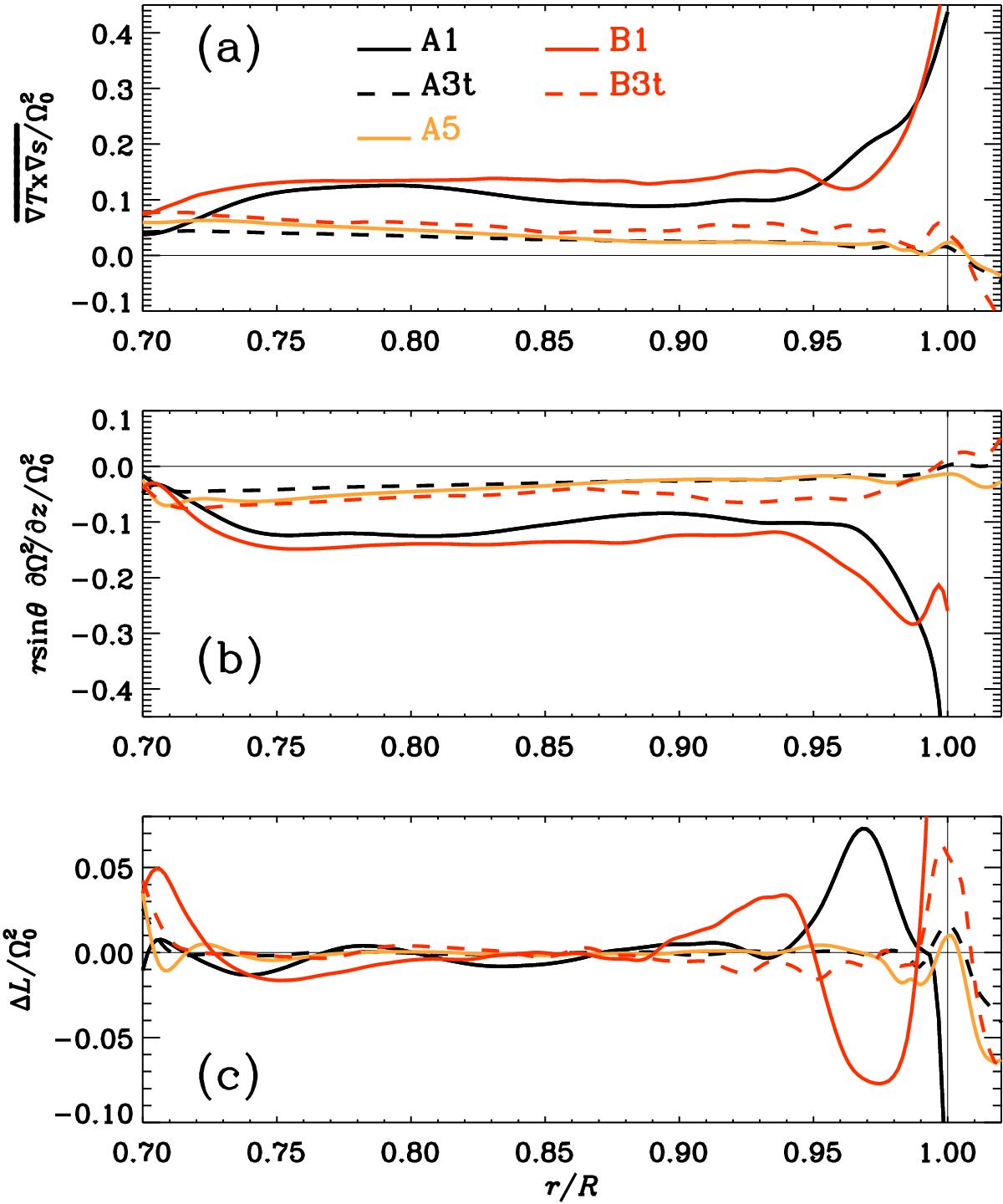
The two dominant terms of Eq. (21) and their difference for Runs A1, A3t, A5, B1, and B3t in the northern hemisphere at 15° latitude. The thin black lines indicate the zero value and the surface (r = R).

Current usage metrics show cumulative count of Article Views (full-text article views including HTML views, PDF and ePub downloads, according to the available data) and Abstracts Views on Vision4Press platform.

Data correspond to usage on the plateform after 2015. The current usage metrics is available 48-96 hours after online publication and is updated daily on week days.

Initial download of the metrics may take a while.