Free Access

Fig. 10

image

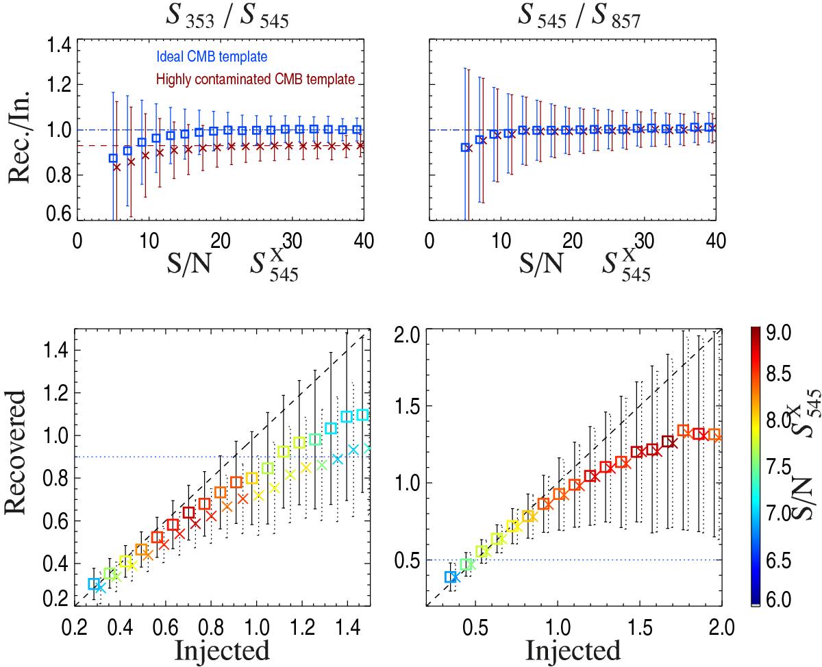
Colour–colour ratio recovery. Left: S353/S545. Right: S545/S857. Top: ratio of recovered over injected colour–colour ratio (Rec./In.) as a function of the 545-GHz excess S/N. This is shown for two choices of the CMB template, i.e., ideal (blue squares) or highly contaminated by extragalactic foregrounds (red crosses). Bottom: recovered versus injected colour–colour ratio per bin of input colour–colour ratio. Again, two cases are shown depending on the quality of the CMB template, ideal (squares) or highly contaminated (crosses). The colour scale provides the average S/N of the 545-GHz excess inside each bin of input colour–colour ratio. The blue dotted lines show S353/S545< 0.9 and S545/S857> 0.5, which are the colour criteria adopted for source selection.

Current usage metrics show cumulative count of Article Views (full-text article views including HTML views, PDF and ePub downloads, according to the available data) and Abstracts Views on Vision4Press platform.

Data correspond to usage on the plateform after 2015. The current usage metrics is available 48-96 hours after online publication and is updated daily on week days.

Initial download of the metrics may take a while.