Free Access

Fig. 9

image

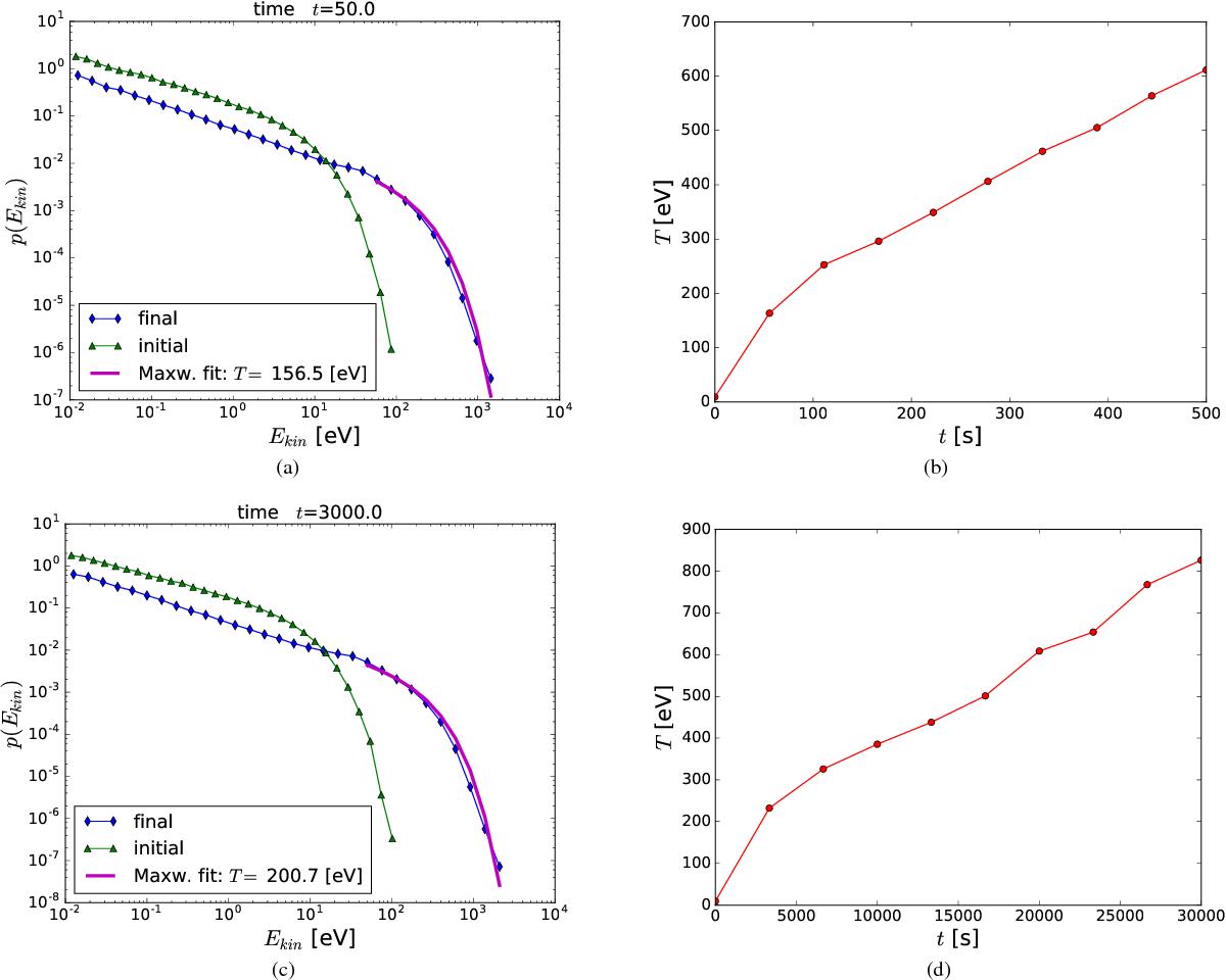
For η = 75ηS: a) distribution of the kinetic energy of electrons after 50 s in the absence of collisions, together with a Maxwellian fit; b) electron temperature as a function of time in the absence of collisions, as estimated by Maxwellian fits; c) distribution of the kinetic energy of ions after 3000 s in the absence of collisions, together with a Maxwellian fit; d) ion temperature as a function of time in the absence of collisions, as estimated by Maxwellian fits.

This figure is made of several images, please see below:

Current usage metrics show cumulative count of Article Views (full-text article views including HTML views, PDF and ePub downloads, according to the available data) and Abstracts Views on Vision4Press platform.

Data correspond to usage on the plateform after 2015. The current usage metrics is available 48-96 hours after online publication and is updated daily on week days.

Initial download of the metrics may take a while.