Highlight
Free Access

Fig. 3

image

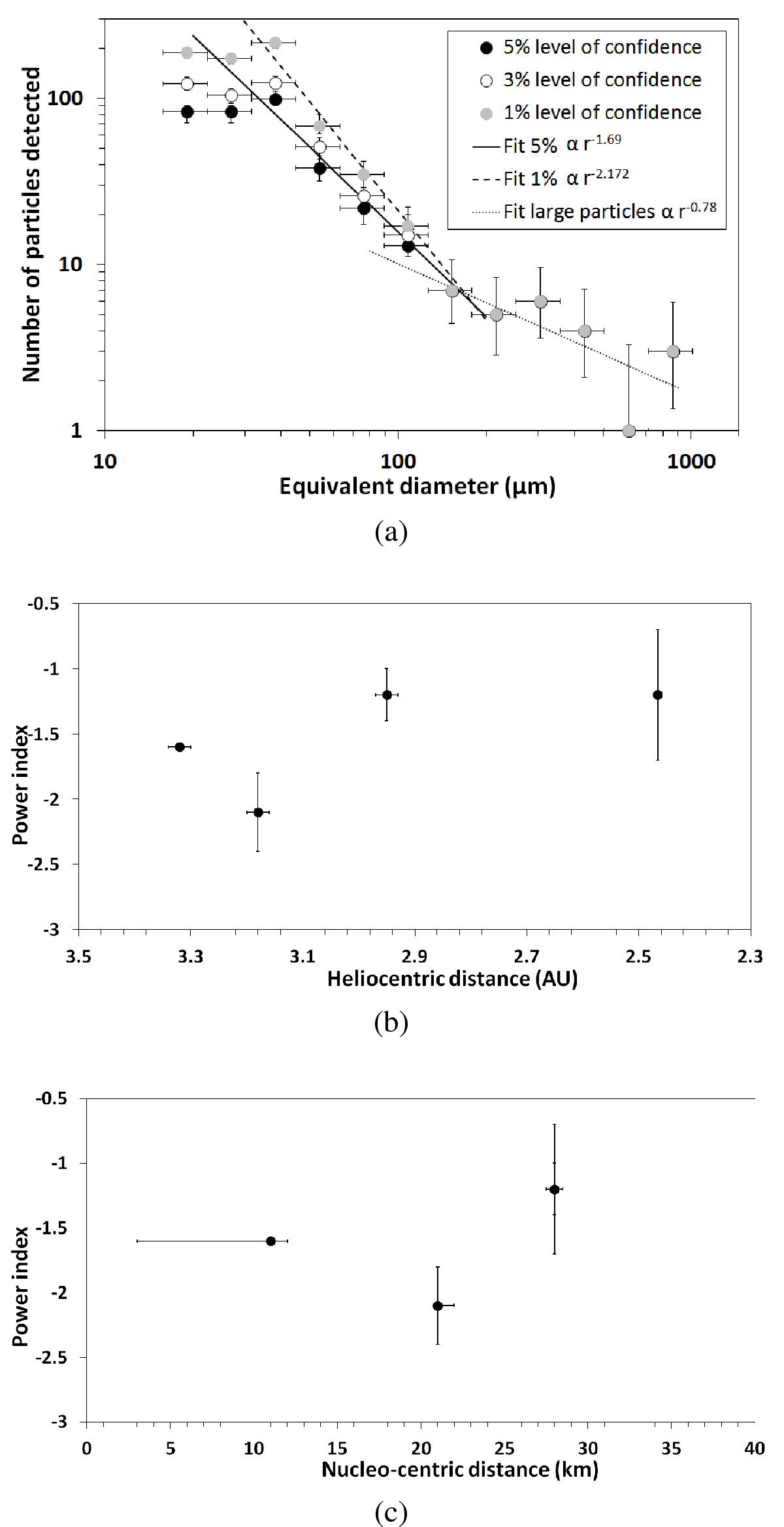
a) Size distribution of the particles collected by COSIMA. In this representation, the bins have the same size on a logarithmic scale, and the power index derived from this curve is similar to the index of a cumulative size distribution. The fragmentation inside the instrument was taken into account by assuming that all particles from a fragmentation event are the daughters of a larger parent particle whose equivalent diameter is estimated by summing the volume of all the daughter particles. The different size distributions shown here by the black, white, and gray dots are obtained assuming fragmentation events if the P-values are lower than 0.05, 0.03 and 0.01 respectively. The dotted line represents the fitted power law for particles larger than 100 μm, the solid and dashed lines are the fitted power laws for the size distributions of the particles between 30 μm  and 100 μm  represented by the black dots and the gray dots respectively. The error bars are 1σ errors, for values lower than 100 counts. The error bars are derived from Gehrels (1986). b) Variation of the cumulative power index for particles with sizes between 30 μm  and 100 μm  and using a P-value lower than 0.05 for fragmentation events determination with respect to heliocentric distance, and c) to nucleo-centric distance.

This figure is made of several images, please see below:

Current usage metrics show cumulative count of Article Views (full-text article views including HTML views, PDF and ePub downloads, according to the available data) and Abstracts Views on Vision4Press platform.

Data correspond to usage on the plateform after 2015. The current usage metrics is available 48-96 hours after online publication and is updated daily on week days.

Initial download of the metrics may take a while.