Free Access

Fig. 11

image

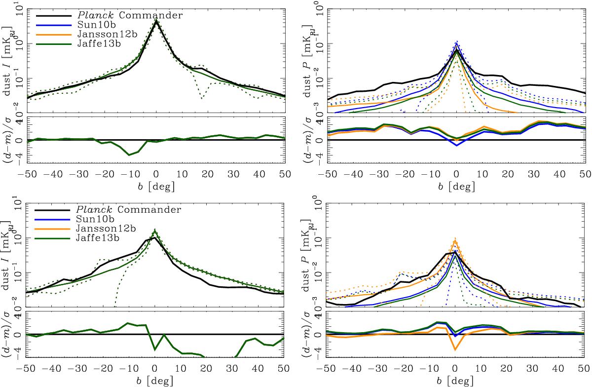
Dust profiles in latitude for the models as in Fig. 4. The top shows the inner Galaxy (i.e., −90° <l< 90°), while the bottom shows the third quadrant (180° <l< 270°, i.e., the outer Galaxy excluding the Fan region). For total intensity on the left, the Commander dust solution in solid black is compared to the Planck 2013 dust model of Planck Collaboration XI (2014) (black dashed), but the difference is not generally visible. (Since the models shown in colour differ only in the magnetic field, which has no impact on the dust total intensity, these curves are not distinguishable.)

This figure is made of several images, please see below:

Current usage metrics show cumulative count of Article Views (full-text article views including HTML views, PDF and ePub downloads, according to the available data) and Abstracts Views on Vision4Press platform.

Data correspond to usage on the plateform after 2015. The current usage metrics is available 48-96 hours after online publication and is updated daily on week days.

Initial download of the metrics may take a while.