Free Access

Fig. 12

image

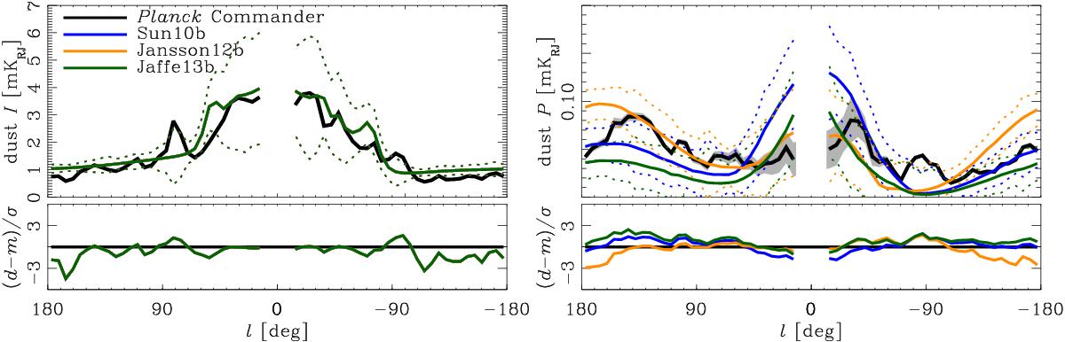
Dust profiles in longitude for the updated models in Fig. 11. The grey band shows the uncertainty in the data due to the bandpass leakage discussed in Sect. A.2.

Current usage metrics show cumulative count of Article Views (full-text article views including HTML views, PDF and ePub downloads, according to the available data) and Abstracts Views on Vision4Press platform.

Data correspond to usage on the plateform after 2015. The current usage metrics is available 48-96 hours after online publication and is updated daily on week days.

Initial download of the metrics may take a while.