Free Access

Fig. 5

image

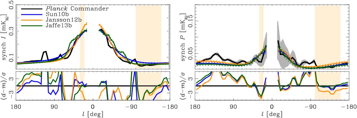
Longitude profiles for synchrotron for the updated models as described in Sect. 3.3. See Fig. 4. The grey band is an estimate of the uncertainty primarily due to bandpass leakage discussed in Appendix A.1. The pale orange vertical bands highlight longitude ranges where the plane crosses any of the loops discussed in Sect. 3.4.3.

Current usage metrics show cumulative count of Article Views (full-text article views including HTML views, PDF and ePub downloads, according to the available data) and Abstracts Views on Vision4Press platform.

Data correspond to usage on the plateform after 2015. The current usage metrics is available 48-96 hours after online publication and is updated daily on week days.

Initial download of the metrics may take a while.