GREGOR first results
Free Access

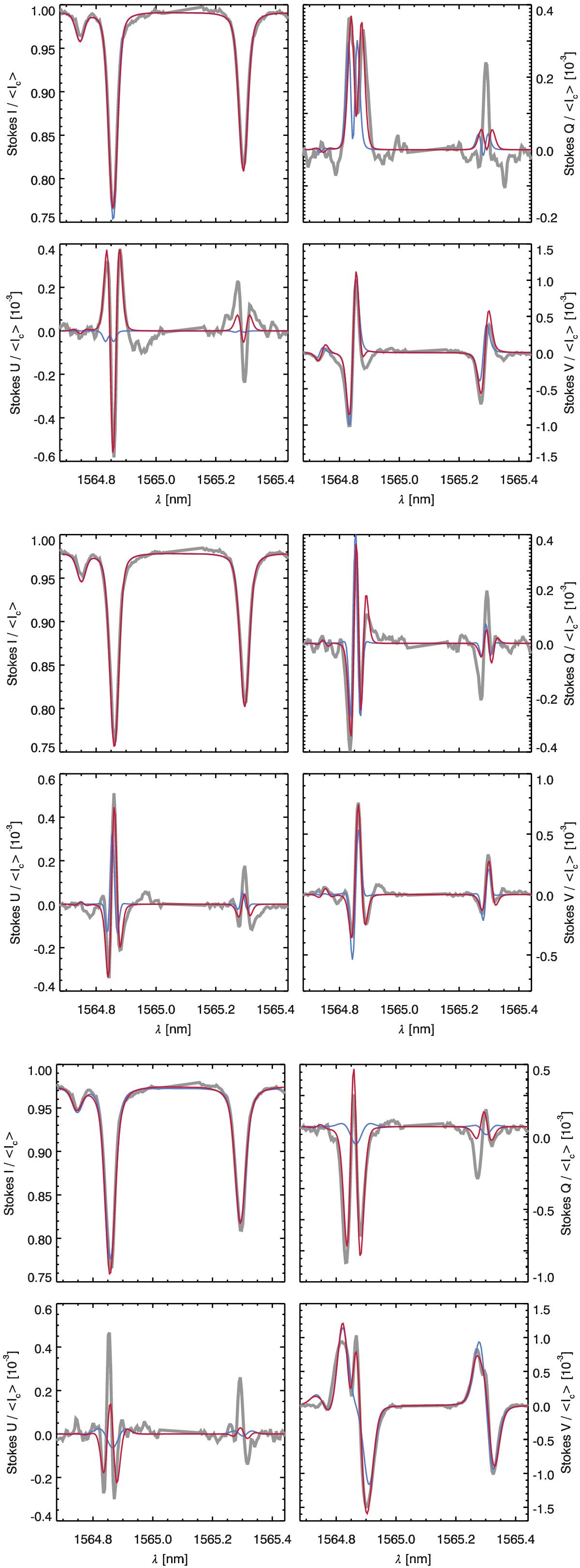
Fig. 5

image

Three typical examples of Stokes profiles, displayed as the thick grey line. The blue line represents the inversion with the model that considers only one magnetic component embedded in a non-magnetised atmosphere. The red line displays the inversion using a model with two magnetic atmospheres coexisting with the 30% contamination of unpolarised stray light.

This figure is made of several images, please see below:

Current usage metrics show cumulative count of Article Views (full-text article views including HTML views, PDF and ePub downloads, according to the available data) and Abstracts Views on Vision4Press platform.

Data correspond to usage on the plateform after 2015. The current usage metrics is available 48-96 hours after online publication and is updated daily on week days.

Initial download of the metrics may take a while.