Free Access

Fig. 2

image

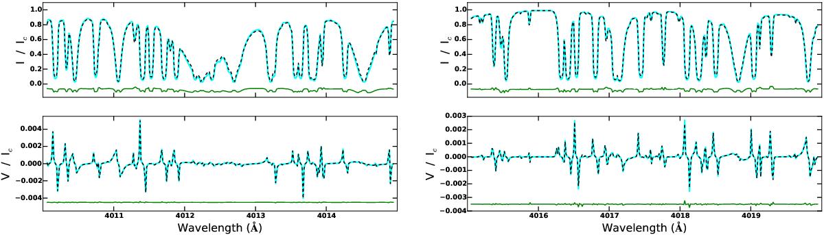
Comparison between solar and stellar (integrated) Stokes profiles. The dashed black line represents the integrated Stokes profiles while the solid line in light colour represents the solar case. The difference in the profiles, shown at the bottom, has been shifted for clarity. The effective longitudinal field strengths are 7.65 G (left panel) and 5.78 G (right panel).

This figure is made of several images, please see below:

Current usage metrics show cumulative count of Article Views (full-text article views including HTML views, PDF and ePub downloads, according to the available data) and Abstracts Views on Vision4Press platform.

Data correspond to usage on the plateform after 2015. The current usage metrics is available 48-96 hours after online publication and is updated daily on week days.

Initial download of the metrics may take a while.