Free Access

Fig. 4

image

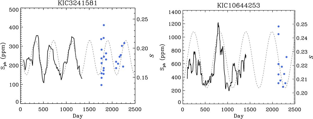
Left panel: photospheric magnetic activity proxy Sph (in ppm, solid black line) of KIC 3241581 estimated from 1422 days of Kepler observations as a function of time. The individual measurements of the index obtained with the Hermes observations few years after the end of the Kepler mission are represented by the dots. The gray dashed line represents a sinusoid calculated using the main periodicity found in the Sph by a Lomb-Scargle analysis and centered around the first modulation of the Sph. Right panel: same as the left panel but for KIC 10644253.

This figure is made of several images, please see below:

Current usage metrics show cumulative count of Article Views (full-text article views including HTML views, PDF and ePub downloads, according to the available data) and Abstracts Views on Vision4Press platform.

Data correspond to usage on the plateform after 2015. The current usage metrics is available 48-96 hours after online publication and is updated daily on week days.

Initial download of the metrics may take a while.