Free Access

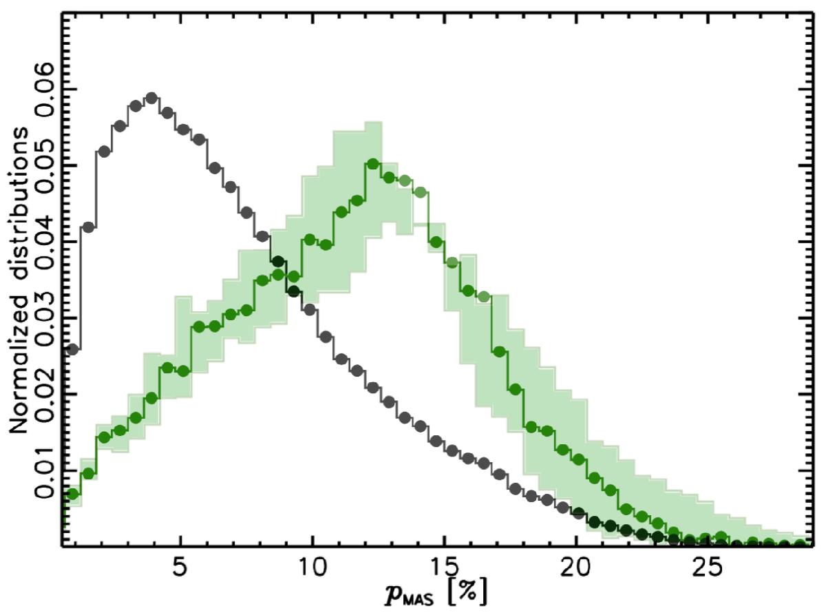
Fig. 3

image

Normalized distributions of the polarization fraction from the pMAS debiased estimator (see text). The black distribution shows pMAS over the whole sky. The green distribution shows pMAS at b< −60°. The green-shaded area represents the 1σ error on pMAS at high latitude.

Current usage metrics show cumulative count of Article Views (full-text article views including HTML views, PDF and ePub downloads, according to the available data) and Abstracts Views on Vision4Press platform.

Data correspond to usage on the plateform after 2015. The current usage metrics is available 48-96 hours after online publication and is updated daily on week days.

Initial download of the metrics may take a while.