Free Access

Fig. 17

image

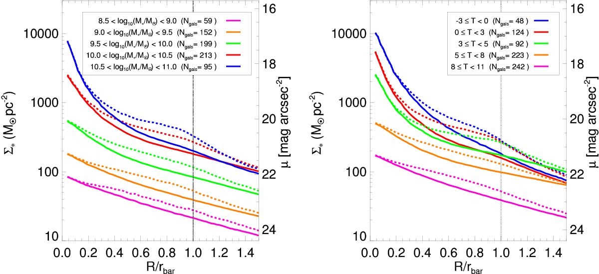
Azimuthally averaged mean 3.6 μm density profiles in bins of stellar mass and revised Hubble type obtained after resizing and reorienting the galaxy images with respect to the stellar bars (solid lines). The dashed line corresponds the surface brightness cut along the bar major axis. The vertical dotted line indicates the bar end.

Current usage metrics show cumulative count of Article Views (full-text article views including HTML views, PDF and ePub downloads, according to the available data) and Abstracts Views on Vision4Press platform.

Data correspond to usage on the plateform after 2015. The current usage metrics is available 48-96 hours after online publication and is updated daily on week days.

Initial download of the metrics may take a while.