Free Access

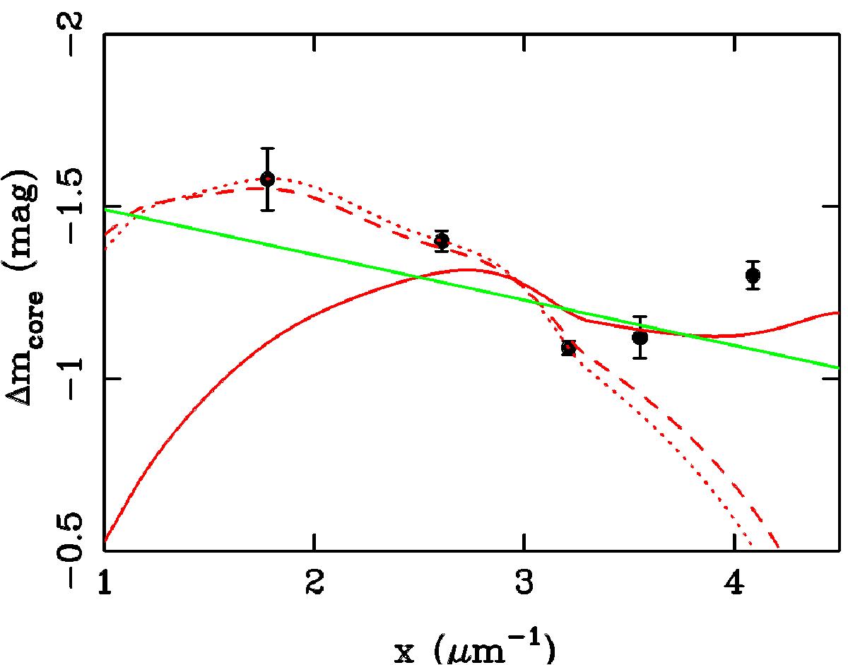
Fig. 3

image

Line-core magnitude differences for SDSS J1339+1310. Filled circles with error bars describe our measurements in the fifth column of Table B.1. Instead of λ values, the x-axis displays the wavelength-dependent quantity x ∝ 1 /λ (see main text). Assuming microlensing-free fluxes of line cores and Galactic extinction in the lensing galaxy, we also show the best fits using Mg ii + C iii] + C iv data (dotted red line), Mg ii + C iii] + C iv + Si iv/O iv] data (dashed red line) and the five measurements (solid red line). For a standard linear extinction in the lensing galaxy, the solid green line traces the best fit to the five magnitude differences.

Current usage metrics show cumulative count of Article Views (full-text article views including HTML views, PDF and ePub downloads, according to the available data) and Abstracts Views on Vision4Press platform.

Data correspond to usage on the plateform after 2015. The current usage metrics is available 48-96 hours after online publication and is updated daily on week days.

Initial download of the metrics may take a while.